Syntaxregeln_Neu
Themen: Syntaxregeln zur Definition von Funktionstermen zur Durchführung von Berechnungen sowie zur Ausgabe grafischer Darstellungen - Eigenschaften wichtiger und trigonometrischer Funktionen
MathProf - Ein Programm zum Lösen verschiedenster Aufgaben und zur Visualisierung relevanter Sachverhalte mittels Simulationen, 2D- und 3D-Animationen für die Schule, das Abitur, das Studium sowie für Lehrer, Ingenieure, Wissenschaftler und alle die sich für angewandte Mathematik interessieren.
Online-Hilfe
zu Syntaxregeln, welche zur Definition der Terme
mathematischer Funktionen, mathematischer Operatoren, mathematischer Zeichen, Variablen und mathematischer Konstanten in MathProf 5.0 gelten.
Nachfolgend aufgeführt finden Sie eine Übersicht der mathematischen Funktionen, welche in diesem Programm Verwendung finden können. Zudem werden Konstanten, Parameter und Operatoren sowie hierfür geltende Syntaxregeln, welche zur Definition von Funktionstermen verwendbar sind, aufgeführt. Sie haben Gültigkeit in allen hierfür relevanten Unterprogrammen.
Unter Anwendung dieser können sowohl Terme in Modulen zur Durchführung numerischer Berechnungen, wie auch in Programmteilen zur Darstellung zweidimensionaler oder dreidimensionalen Grafiken bzw. zum Plotten der Graphen von Funktionen definiert werden.
Bei korrekter Definition werden die entsprechenden Symbole und Funktionsterme vom Rechner in Fließkommazahlen gewandelt und zur Ermittlung relevanter interner Berechnungsergebnisse sowie zur Ausgabe grafischer Darstellungen verwendet.
Weitere relevante Seiten zu diesem Programm
Durch die Ausführung eines Klicks auf die nachfolgend gezeigte Schaltfläche gelangen Sie zur Startseite dieser Homepage.
| Themen und Stichworte I: Funktionsterme - Funktionsterm - Funktionsrechner - Terme - Funktion - Regeln - Werte - Variablen - Parameter - Hyperbelfunktionen - Logarithmusfunktionen - Wurzelfunktionen - Elementare Funktionen - Übersicht - Eingabe - Operatoren - Operationen - Mathematische Operationen - Regeln - Syntax - Schreibweise - Begriff - Begriffe - Mathematische Zeichen - Vorzeichen - Exponenten - Klammern - Klammerregeln - Definieren - Trigonometrische Funktionen - Hyperbelfunktion - Betrag einer Zahl - Positive Zahlen - Euler Funktion - Potenzen - Negative Zahlen - Winkelfunktionen - Zum Quadrat - Wurzel - Quadratwurzel - Kubikwurzel - Dritte Wurzel - Kubische Wurzel - Vierte Wurzel - n-te Wurzel - Wurzelexponent - Gaußsches Fehlerintegral - Arcusfunktionen - Hyperbolische Funktionen - Areafunktionen - Sinus - Kosinus - Tangens - Cotangens - Logarithmus - Tangensfunktion - Cotangensfunktion - Sinusfunktion - Cosinusfunktion - Inverser Tangens - Inverser Sinus - Inverser Cosinus - Kehrwertfunktion - Fakultätsfunktion - Tangens hyperbolicus - Sinus hyperbolicus - Cosinus hyperbolicus - Arcussinus - Arcuscosinus - Arcustangens - Sekans - Secans hyperbolicus - Cotangens hyperbolicus - Arcussinus hyperbolicus - Arcuscosinus hyperbolicus - Arcustangens hyperbolicus - Arcuscotangens hyperbolicus - Areasinus hyperbolicus - Areatangens hyperbolicus - Inverse Funktionen - Hyperbolischer Tangens - Hyperbolischer Sinus - Allgemeine Logarithmusfunktion - Logarithmen - Logarithmus naturalis - Natürlicher Logarithmus - Logarithmus lg - Logarithmus ln - Logarithmus zur Basis 2 - Logarithmus zur Basis 10 - Log zur Basis 2 - Log zur Basis 10 - Logarithmus dualis - Dekadischer Logarithmus - Zweierlogarithmus - Zehnerlogarithmus - Cosinus-Integral - Exponential-Integral - Logarithmisches Integral - Sinus-Integral - n-te Potenz - Funktionsdefinition - Typen - Funktionstypen - Error function - Fehlerfunktion - Erf - Fresnel Sinus - Fresnel Cosinus - Hyperbolisch - Winkelfunktionswerte - Absolute Werte - Absoluter Wert - * - - + - / - ^ - Hoch - Cosinus hoch - Sinus hoch - Tangens hoch - tan^-1 - sin^-1 - cos^-1 - Sinh - Cosh - Tanh - Coth - Arcsin - Arccos - Arctan - Arccot - Ln - Ld - Log - Log base - Sin - Cos - Tan - Abs - Cot - Arcsinh - Arccosh - Arctanh - Arccoth - Arcsec - Arccsc - Sech - Csch - Arcsech - Exp2 - Exp10 - Abs - Sqrt - Sqr - Frac - Int - LnFac - X - Y - pi - pi/2 - pi/3 - pi/4 - pi/6 - pi - 0 - 1 - 0,1 - 0,2 - 0,3 - 0,4 - 0,5 - 0,6 - 0,7 - 0,8 - 0,9 - Konstante e - Eulersche Zahl - E Zahl - Vorzeichenfunktion - Ceil Funktion - Floor Funktion - Sgn Funktion - Sec Funktion - Csc Funktion - Degtorad - Radtodeg - Unbekannte - Definitionsbereich - Definitionsmenge - Wertebereich - Wertemenge - Symmetrie - Eigenschaften - If Funktion - Abhängige Variable - Unabhängige Variable |
| Themen und Stichworte II: Gammafunktion - Eulersche Gammafunktion - Psi Funktion - Error Function - Ln Funktion - Lg Funktion - Exp Funktion - Exp2 Funktion - Exp10 Funktion - Arctan2 - Int - Integer - Max Funktion - Min Funktion - Trunc - Truncate - Clamp Funktion - Sprungfunktion - Heavyside Funktion - Fresnel Integral - Fresnelsche Integrale - Fakultät - Ableiten - Ableitung - Rechner - Wurzelterm - Absolutbetrag - Absolutwert - Funktionsterm - Funktionsterme - Bruchterm - Begriff - Begriffe - Zahlen - Hoch - Hochzahlen - Maximalwert - Mininmalwert - Signum - Signumfunktion - Stufenfunktion - Treppenfunktion - Betragsfunktion - Potenzfunktion - Negative Exponenten - Negative Hochzahlen - Negative Potenz - Aufrundungsfunktion - Abrundungsfunktion - Zufallsfunktion - Zufallsvariable - Random - Randomizer - Natürliche Exponentialfunktion - Absoluter Betrag - Absolutbetrag - Absoluter Wert - Runden - Absolute Werte - Power Funktion - Konstanten - Negation - Negierung - Gaußklammer - Gauß Klammer - Integralsinus - Integralcosinus - Integralexponentialfunktion - Fehlerintegral - Min - Max - Minimum - Maximum - Minimalwert - Maximum zweier Zahlen - Minimum zweier Zahlen - Gaußsche Fehlerfunktion - Natürliche Logarithmusfunktion - Mathematische Symbole - Mathematische Bedingungen - Darstellungsarten - Kommazahlen - Rechenzeichen - Term berechnen - Berechnen - Erklärung - Einführung - Beschreibung - Definition - Darstellung - Plotter - Plot - Darstellen - Plotten - Graph - Herleitung - Beweis - Terme addieren - Terme subtrahieren - Terme multiplizieren - Terme dividieren - Terme potenzieren - Größer als - Kleiner als - Berechnung - Addieren - Subtrahieren - Dividieren - Multiplizieren - Potenzieren - Addition - Subtraktion - Multiplikation - Division - Plus - Minus - Geteilt - Durch - Mal - Iff - Betragsungleichungen - Betragsstriche - Betragszeichen - Betragsquadrat - Verschachtelte Funktionen - Größer als-Zeichen - Kleiner als-Zeichen - Vergleichsoperatoren - Operationszeichen - Relationszeichen - Zeichen - Buchstaben - Erklärung - Beschreibung - Arbeitsblatt - Arbeitsblätter - Unterrichtsmaterial - Unterrichtsmaterialien - Lernen - Erlernen - Übungsaufgaben - Üben - Übungen - Lösungen - Aufgaben - Abituraufgaben - Abiturvorbereitung - Abitur - Abi - Leistungskurs - LK - Klassenarbeit - Klassenarbeiten - Anwendungsaufgaben - Klammer - Operand - Operanden - Operator - Merkmale - Festkommadarstellung - Festkommazahl - Gleitkommadarstellung - Gleitkommazahl - Fließkommazahl - Festkommazahlen - Gleitkommazahlen - Fließkommazahlen - Exponentialschreibweise - Exponentialdarstellung - Dezimaldarstellung - Dezimalschreibweise - Exponentialformat - Format - Notation - Stellenzahl - Beziehungen - Umrechnen - Mathe - Mathematik - Mathematische Schreibweise - Schreibweise - Wissenschaftliche Schreibweise - Formel von Moivre - Arkusfunktionen - Arkuskosinus - Arkussinus - Arkustangens - Arkuskotangens - Arkussekans - Arkuskosekans - Umrechnung - Funktionseigenschaften - Elliptisches Integral - Lambda-Funktion - Jacobi-Amplitude - Jacobische elliptische Funktion - Sinus lemniscatus - Dawson - Integral - Error-Funktion -Errorfunktion - Goodwin-Staton - Logarithmisches Integral - Bateman-Funktion - Beta-Funktion - Gammastar - Lnbeta - Lngamma - Psi - RGamma - Trigamma - Clausen-Funktion - Dirichlet Beta - Chi Funktion - Lobachevsky-Funktion - Riemannsche Zetafunktion - Hurwitz Zeta Funktion - Chebyshev - Polynom - Gegenbauer Polynom - Hermite Polynome - Laguerre Polynome - Legendre Polynome - Zernike Polynome - Dichte - Verteilung - Extreme Value Type - Inverse Gamma Verteilung - Kumaraswamy-Verteilung - Bernoulli-Polynom - Gudermann-Funktion - Debye-Funktion - Fibanocci-Funktion - Riemann - Riemannsche Zahl |
Nachfolgend finden Sie ein Video zu MathProf 5.0, welches Sie durch die Ausführung eines Klicks
auf die nachfolgend gezeigte Grafik abspielen lassen können.
Syntaxregeln zur Definition von Funktionstermen
Nachfolgend aufgeführte Zeichen und Symbole sind in Unterprogrammen verwendbar, welche die Definition von Funktionstermen erfordern. Diese können sowohl zur Durchführung von Berechnungen wie auch zur Darstellung von zweidimensionalen und dreidimensionalen funktionalen Zusammenhängen mit Hilfe von Funktionen in expliziter Form, in Parameterdarstellung sowie in Polarform verwendet werden.
Grundrechenarten und Potenzierung - Mathematische Operatoren - Operanden
| Symbol / Operator | Erklärung / Bedeutung |
| + | Addition |
| - | Subtraktion |
| * | Multiplikation |
| / | Division |
| ^ | Potenzierung |
Trigonometrische Funktionen
| Symbol | Erklärung / Bedeutung | Syntax-Beispiel |
| Sin() | Sinus | SIN(X) |
| Cos() | Cosinus | COS(X) |
| Tan() | Tangens | TAN(X) |
| Cot() | Cotangens | COT(X) |
| Arcsin() | Arcussinus (inverser Sinus) | ARCSIN(X) |
| Arccos() | Arcuscosinus (inverser Cosinus) | ARCCOS(X) |
| Arctan() | Arcustangens (inverser Tangens) | ARCTAN(X) |
| Arccot() | Arcuscotangens | ARCCOT(X) |
| Sinh() | Sinus hyperbolicus | SINH(X) |
| Cosh() | Cosinus hyperbolicus | COSH(X) |
| Tanh() | Tangens hyperbolicus | TANH(X) |
| Coth() | Cotangens hyperbolicus | COTH(X) |
| Arcsinh() | Arcussinus hyperbolicus | ARSINH(X) |
| Arccosh() | Arcuscosinus hyperbolicus | ARCOSH(X) |
| Arctanh() | Arcustangens hyperbolicus | ARTANH(X) |
| Arccoth() | Arcuscotangens hyperbolicus | ARCOTH(X) |
| Sec() | Secans | SEC(X) |
| Csc() | Cosecans | CSC(X) |
| Arcsec() | Arcussecans | ARCSEC(X) |
| Arccsc() | Arcuscosecans | ARCCSC(X) |
| Sech() | Secans hyperbolicus | SECH(X) |
| Csch() | Cosecans hyperbolicus | CSCH(X) |
| Arcsech() | Arcussecans hyperbolicus | ARCSECH(X) |
| Arccsch() | Arcuscosecans hyperbolicus | ARCCSCH(X) |
| Arctan2(y,x) | Arctan(y/x) | ARCTAN2(2;X) |
Hinweis: Sekans (sec), Cosekans (csc) und Cotangens (cot) bilden die Kehrwerte der Sinusfunktion, der Cosinusfunktion und der Tangensfunktion.
Exponentialfunktionen und Logarithmusfunktionen
| Symbol | Erklärung / Bedeutung | Syntax-Beispiel |
| Ln() | Natürlicher Logarithmus (logarithmus naturalis) | LN(X) |
| Ld() | Binärer Logarithmus log2(x) | LD(X) |
| Log() Lg() | Dekadischer Logarithmus log10(x) | LOG(X) LG(X) |
| Logbase(n,x) | Dekadischer Logarithmus zur ganzzahligen Basis n log(n;x) mit n ≥ 2 | LOGBASE(3;X) |
| Exp() | Exponentialfunktion eX e: Eulersche Zahl | EXP(X) |
| Exp2() | Exponentialfunktion 2X | EXP2(X) |
| Exp10() | Exponentialfunktion 10X | EXP10(X) |
Sonstige Funktionen
| Symbol | Erklärung / Bedeutung | Syntax-Beispiel |
| Abs() || | Absoluter Betrag | ABS(X) |X| |
| Sqrt() Wurzel() | Quadratwurzel - entspricht X(1/2) | SQRT(X) WURZEL(X) |
| Wurzeld() | Dritte Wurzel - entspricht X(1/3) | WURZELD(X) |
| Wurzelv() | Vierte Wurzel - entspricht X(1/4) | WURZELV(X) |
| Sqr() | Quadrat - entspricht X2 | SQR(X) |
| Int() | Integer-Funktion | INT(X) |
| Frac() | Gebrochenzahliger Anteil von X | FRAC(X) |
| Sgn() | Signum mit 1 für x > 0 0 für x = 0 -1 für x < 0 | SGN(X) |
| Rand() | Zufallsfunktion (Zufallsgenerator) (nur im Unterprogramm Mathematische Fkt. I verwendbar) | RAND(X) |
| Fac() | Fakultät n! einer ganzen Zahl n ≥ 0 (n! = 1·2·3... (n-1)·n) Fakultätsfunktion | FAC(3) |
| Lnfac() | Natürlicher Logarithmus der Fakultät ln(n!) einer ganzen Zahl n ≥ 0 | LNFAC(4) |
| Degtorad() | Konvertierung eines Winkels von Grad (DEG) in das Bogenmaß RAD (Rad = Grad·Pi/180) | DEGTORAD(X) |
| Radtodeg() | Konvertierung eines Winkels vom Bogenmaß (RAD) in das Gradmaß DEG (Grad = Rad·180/Pi) | RADTODEG(X) |
| Ceil() | Kleinster ganzzahliger Wert der ≥ x ist | CEIL(X) |
| Floor() | Größter ganzzahliger Wert der ≤ x ist | FLOOR(X) |
| Round() | Rundung eines Gleitkommawerts auf eine Ganzzahl | ROUND(X) |
| Min(a,b) | Minimum zweier Werte | MIN(X;2) |
| Max(a,b) | Maximum zweier Werte | MAX(3;X) |
| Clamp(x,a,b) | Wenn x < a, dann ist clamp(x,a,b) = a. Wenn x > b, dann ist clamp(x,a,b) = b. Wenn a ≤ x ≤ b, dann ist clamp(x,a,b) = x. | CLAMP(X;0;1) |
Konstanten
| Symbol | Erklärung / Bedeutung | Syntax |
| e | Eulersche Zahl e | E |
| π | Kreiszahl π | PI |
| c1,c2,c3,c4,c5 | Frei definierbare Konstanten (Wertzuweisung erfolgt unter dem Menüpunkt Datei-Globale Optionen, Registerblatt Funktionskonstanten im Hauptformular des Programms). | C1,C2,C3, C4,C5 |
Sonstige Zeichen
| Symbol | Erklärung / Bedeutung |
| , oder . | Als Dezimaltrennzeichen sind Komma oder Punkt zu verwenden. |
| ( ) | Klammer |
| ; | Semikolon (nur innerhalb von Klammerzeichen) - Zur Trennung von Werten/Variablen bei deren Übergabe an Funktionen welche mehrere Parameter/Variablen benötigen. |
Verwendung von IF und IFF - Anweisungen und logischen Verknüpfungen - Boolesche Variablen
Das Programm erlaubt bei der Funktionsdefinition die zusätzliche Verwendung von Bedingungsanweisungen und logischen UND-Operationen (Boolesche Variablen).
| Symbol | Erklärung / Bedeutung | Syntax-Beispiel |
| IF | Wenn - Dann - Anweisung | IF (X<2;SIN(X)) |
| IFF | Wenn - Dann - Sonst - Anweisung | IFF (X>=1; SIN(X); COS(X)) |
Operatoren und logische Verknüpfungen bei Verwendung von IF oder IFF-Anweisungen:
| Symbol | Erklärung / Bedeutung |
| > | größer |
| >= | größer gleich |
| < | kleiner |
| <= | kleiner gleich |
| = | gleich |
| <> | nicht gleich |
| & | UND-Verknüpfung |
Eine IF-Anweisung führt eine Wenn-Dann-Anweisung (if then) aus. Wird die gestellte Bedingung erfüllt, so wird die Anweisung abgearbeitet, ansonsten wird nichts ausgegeben, bzw. dargestellt.
Eine IFF-Anweisung führt eine Wenn-Dann-Sonst-Anweisung (if then else) aus. Wird die gestellte Bedingung erfüllt, so wird die Dann-Anweisung abgearbeitet, andernfalls wird die Sonst-Anweisung abgearbeitet.
Deklarationsformen:
IF(Bedingung;Dann-Anweisung)
IFF(Bedingung;Dann-Anweisung;Sonst-Anweisung)
Als Separatoren zwischen Bedingung und Anweisung(en) werden Semikola verwendet.
Bedingungsanweisungen (und somit auch Operatoren) werden vor dem ersten Semikolon innerhalb des IF- bzw. IFF-Befehls definiert. Dann-Anweisungen werden zwischen dem ersten und dem zweiten Semikolon, und Sonst-Anweisungen (bei IFF-Bedingung) nach dem zweiten Semikolon zugewiesen.
Bedingungsanweisungen müssen vor dem ersten Semikolon stets Vergleichsoperatoren (<,>,=,>=,<=,<>) und/oder das Verknüpfungssymbol & beinhalten. Vergleichsoperatoren und Verknüpfungssymbole müssen sich logischerweise stets vor dem ersten Semikolon (bei der Bedingungsdefinition) und nicht dahinter befinden.
Hinweise:
Das Programm prüft die verwendete Deklaration (Syntax) vor Durchführung einer Berechnung bzw. Ausgabe einer grafischen Darstellung in diesem Fall nur bedingt. Es gilt daher auf die korrekte Benutzung dieser Anweisungen selbst zu achten. Die o.a. Vergleichsoperatoren (<,>,=,>=,<=,<>) sowie das Symbol & (AND) für die logische UND-Verknüpfung sind stets nur im ersten Teil (vor dem ersten Semikolon - also zur Definition der Bedingungsanweisung) innerhalb einer IF- oder IFF-Anweisung zu verwenden. Wird dies nicht befolgt, so erhalten Sie eine Fehlermeldung oder es erfolgt eine mit Sicherheit nicht ohne Weiteres nachvollziehbare Darstellung oder numerische Auswertung. Außerhalb der Klammerung von IF- oder IFF-Anweisungen ist eine Verwendung der o.a. Zeichensymbole grundsätzlich zu unterlassen!
Mit Hilfe der zuvor aufgeführten Operatoren können auch Betragsungleichungen definiert werden.
| Symbol/Argument /Variable | Erklärung / Bedeutung |
| X,Y | Standardvariablen |
| K | Variable für den Funktionsparameter K von Funktionen in Parameterform, Parameter zur Definition von Zahlenfolgen. |
| W | Variable für den Winkel φ bei Funktionen in Polarform. |
| P | Reeller Funktionsparameter, der u.a. zur Sachverhaltsanalyse und zur Durchführung von Animationen benötigt wird. Hinweise zum Einsatz von Parametern dieser Art finden Sie unter Verwendung von Funktionsparametern. |
| U,V | ● Variablen zur Berechnung und Darstellung von Flächen in Parameterform, Funktionen in Zylinderkoordinaten und Funktionen in Kugelkoordinaten. (U und V sind hierbei die Variablen für Winkel bzw. Höhen) ● Scharparameter bei der Darstellung von Kurvenscharen ● Parameter zur Durchführung von Funktionsparameteranalysen |
| Y1, Y2, Y3, Y4, Y5, Y6, Y7, Y8 | Variablen für Ableitungen in Differenzialgleichungen und Differenzialgleichungssystemen. |
Wichtige Hinweise
Die Definition einer Funktion der Form √X (Wurzel) kann auf eine der nachfolgend aufgeführten Arten durchgeführt werden:
-
X^(0,5)
SQRT(X)
X^(1/2)
WURZEL(X)
-
Als Dezimaltrennzeichen werden Komma oder Punkt akzeptiert
-
Die Berechnung der Werte trigonometrischer Funktionen erfolgt in allen Unterprogrammen stets im Bogenmaß!
-
Die Verwendung der Zeichenfolge E^X bewirkt dasselbe wie die Nutzung der Zeichenfolge EXP(X)
-
Bei Funktionen die einen ganzzahligen Parameterwert n verlangen, wie z.B. FAC(n), LNFAC(n), darf der entsprechende ganzzahlige Wert n nicht durch die Ausführung einer Operation zugewiesen werden. D.h., um der Funktion FAC beispielsweise den ganzzahligen Wert 6 zuzuweisen, ist alleine die Ziffer 6 zwischen den Klammern einzubinden -> FAC(6). Wird die Anweisung FAC(2*3) definiert, so erhalten Sie eine Fehlermeldung, da der Operator * verwendet wurde. Auch die Übergabe eines Gleitkommawerts, oder des Symbols P (zur Durchführung von Simulationen) wird für Funktionsparameter und Konstanten, die ganzzahlige Werte erforderlich machen, nicht akzeptiert.
Häufige Ursachen fehlerhafter Funktionsdeklaration
- Nicht jede geöffnete Klammer wurde wieder geschlossen.
Die Anzahl sich öffnender Klammerzeichen in einem Funktionsterm, muss der Anzahl schließender Klammerzeichen entsprechen.
-
Fehlerhafte Klammerung der Symbolzeichen von Standardfunktionen.
Beispiel:
Falsch: COS X Richtig: COS(X)
-
Multiplikationszeichen wurden nicht verwendet.
Beispiel:
Falsch: 2X Richtig: 2*X
Falsch: SIN(4X) Richtig: SIN(4*X)
-
Fehlerhafte Verwendung von Potenzzeichen.
Beispiel:
Falsch X2 Richtig: X^2
-
Fehlerhafte Klammerung von Exponenten.
Beispiel:
Soll der Term 3√X² definiert werden, so ist einzugeben: X^(2/3). Falsch hingegen wäre die Eingabe des Terms X^2/3, denn dieser wird interpretiert mit 1/3·X².
Anmerkungen
-
Im Unterprogramm Mathematische Funktionen I steht eine Beispiel-Formelbibliothek zur Verfügung, die es ermöglicht sich die geltenden Syntaxregeln zur Definition von Funktionstermen verständlich zu machen. Aufgerufen werden kann diese unter dem Menüpunkt Beispiele I - Beispiel - Funktionsbibliothek laden.
-
Möchten Sie Konstanten benutzen, so weisen Sie den Konstanten C1-C5 die entsprechenden Werte unter dem Menüpunkt Datei - Globale Optionen auf dem Hauptformular des Programms zu. Voreingestellt sind für alle Konstanten die Werte 0 (Näheres hierzu siehe Globale Optionen - Registerblatt Konstanten).
Enthält die Deklaration eines Funktionsterms Leerzeichen, so werden diese bei Aufruf eines Befehls automatisch eliminiert.
Elementare Funktionen
Unter elementaren Funktionen werden im Allgemeinen mathematische Funktionen verstanden, welche sich aus grundlegenden Typen von Funktionen durch Grundrechenarten sowie Verkettungen bilden lassen. Hierzu zählen u.a. Logarithmusfunktionen, Exponentialfunktionen, trigonometrische Funktionen, Potenzfunktionen, Wurzelfunktionen und Polynomfunktionen.
Kurzbeschreibung einiger Funktionen und Fachbegriffe
Abrundungsfunktion (Floor-Funktion): Die Abrundungsfunktion ordnet jeder reellen Zahl die nächstliegende nicht größere (floor) ganze Zahl zu. Diese Funktion wird auch als Gaußklammer bzw. Gauß Klammer bezeichnet.
Aufrundungsfunktion (Ceil-Funktion): Die Aufrundungsfunktion ordnet jeder reellen Zahl die nächstliegende nicht kleinere (ceil) ganze Zahl zu.
Funktionsterm: Als Funktionsterme werden Terme bezeichnet, mit Hilfe derer zu einem gegebenen Wert einer Variable der Wert einer Funktion (den Funktionswert) berechnet wird. Zum Beispiel wird mit Hilfe eines Funktionsterms der Variable x einer Funktion f(x) der ihr zugehörige Funktionswert zugewiesen.
Hyperbelfunktion (hyperbolische Funktionen): Hyperbelfunktionen sind die korrespondierenden Funktionen der trigonometrischen Funktionen die nicht am Einheitskreis x² + y² = 1 sondern an der Einheitsparabel x² - y² = 1 entstehen. Funktionen dieser Art werden auch als hyperbolische Funktionen bezeichnet. Tangens hyperbolicus oder hyperbolischer Tangens (tanh) und Kotangens hyperbolicus (cotanh) sind Hyperbelfunktionen. Auch bei Sinus hyperbolicus bzw. hyperbolischer Sinus (sinh) und Cosinus hyperbolicus (cosh) handelt es sich um Funktionen dieser Art.
Areafunktionen: Als Areafunktionen werden die Umkehrfunktionen der hyperbolischen Funktionen bezeichnet.
Logarithmusfunktion: Als Logarithmusfunktionen werden die Umkehrfunktionen der Exponentialfunktionen bezeichnet. Beispielsweise stellt die Logarithmusfunktion y = logb(x) die Umkehrfunktion der Exponentialfunktion y = bx dar.
Wurzelfunktion: Als Wurzelfunktionen werden Potenzfunktionen bezeichnet, deren Exponent zwischen den Werten 0 und 1 liegt.
Operatoren: Als Operator wird eine mathematische Vorschrift bezeichnet, mit Hilfe derer aus mathematischen Objekten neue Objekte gebildet werden können.
Operationen: Mit Hilfe der mathematischen Operatoren werden elementare arithmetische Operationen wie Addition. Subtraktion, Multiplikation und Division ausgeführt.
Mathematische Zeichen (mathematische Symbole): Als mathematische Zeichen oder mathematische Symbole werden die Symbole bezeichnet, die bei mathematischer Notation innerhalb von Formeln verwendet werden.
Vorzeichen (Signum): Als Vorzeichen oder Signum wird ein Zeichen benannt, das einer reellen Zahl vorangestellt wird, um sie als positiv oder negativ zu definieren.
Vorzeichenfunktion (Signumfunktion): Als Vorzeichenfunktion oder Signumfunktion) wird eine mathematische Funktion bezeichnet, die einer reellen oder komplexen Zahl ihr Vorzeichen zuordnet.
Arkusfunktionen: Als Arkusfunktionen werden die Umkehrfunktionen der Winkelfunktionen bezeichnet. Sie werden eingesetzt, um aus einem gegebenen Winkelfunktionswert den zugrundeliegenden Winkelwert zu berechnen. Bei Arcussinus (arcsin) und Arcuscosinus (arccos) handelt es sich um die Umkehrfunktionen von Sinus und Cosinus. Arcustangens (arctan) und Arcuscotangens (arccotan) sind die Umkehrfunktionen von Tangens und Cotangens.
Sekans (Cosecans): Die Funktionswerte von Sekans (sec) und Cosecans (csc) entsprechen der Länge von Sekantenabschnitten im Einheitskreis. Der Sekans ist der Kehrwert der Kosinusfunktion. Er bildet im rechtwinkligen Dreieck das Verhältnis von Hypotenuse zu Ankathete.
Inverser Tangens: Als inverser Tangens wird der Arcustangens (arctan) bezeichnet.
Inverser Sinus: Als inverser Sinus wird der Arcussinus (arcsin) bezeichnet.
Inverser Cosinus: Als inverser Cosinus wird der Arcuscosinus (arccos) bezeichnet.
Kehrwertfunktion: Die Kehrwertfunktion ist die durch f(x) = 1/x beschriebene Funktion.
Fakultätsfunktion: Die Fakultätsfunktion hat die Gestalt f(n) = n!. Sie besitzt lediglich für die Zahl 0 sowie alle natürlichen Zahlen Gültigkeit.
Fehlerfunktion: (Gaußsche Fehlerfunktion oder Error function): Als Fehlerfunktion oder Gaußsche Fehlerfunktion wird die durch das Integral

definierte Funktion bezeichnet. Sie ist eine Sigmoidfunktion, die in der Statistik Anwendung findet und eng mit dem Fehlerintegral zusammenhängt.
Degtorad: Die Funktion Degtorad wandelt einen in Grad angegebenen Winkel in das Bogenmaß um.
RadtoDeg: Die Funktion RadtoDeg wandelt einen im Bogenmaß angegebenen Winkel in das Gradmaß um.
Eulersche Gammafunktion (Gammafunktion): Die Gammafunktion ist eine der bedeutendsten Funktionen der Mathematik. Sie wurde von Leonhard Euler angegeben und stellt eine Erweiterung der Fakultätsfunktion dar. Sie ist eine intranszendente meromorphe Funktion mit der Eigenschaft Γ(n) = (n-1)!.
Sprungfunktion: Als Sprungfunktion (Heavyside-Funktion, Stufenfunktion, Treppenfunktion) wird die Funktion bezeichnet, die auf den negativen Zahlen den Wert 0 und auf den positiven Zahlen den Wert 1 annimmt.
Fresnel-Integrale: Als Fresnel-Integrale werden in der Analysis zwei uneigentliche Integrale bezeichnet, die nach dem Physiker Augustin Jean Fresnel benannt sind. Sie spielen in der Theorie der Lichtbeugung eine maßgebliche Rolle.
Absolutwert: Der Absolutwert entspricht dem Abstand einer Zahl zur Zahl Null.
Min Funktion: Gibt das Minimum (den Minimalwert) zweier Werte wieder.
Max Funktion: Gibt das Maximum (den Maximalwert) zweier Werte wieder.
Absoluter Betrag (Absolutbetrag oder absoluter Wert): Geometrisch betrachtet handelt es sich beim absoluten Betrag einer reellen Zahl x um den Wert, den eine Strecke zwischen x und der Zahl Null auf dem Zahlenstrahl besitzt.
Operationszeichen: Operationszeichen sind Zeichen, die zur Verknüpfung mathematischer Objekte verwendet werden. Hierzu zählen beispielsweise die Zeichen +, -, / und *.
Relationszeichen: Relationszeichen sind Zeichen, die die Beziehung zwischen mathematischen Objekten kennzeichnen. Hierzu zählen beispielsweise die Zeichen <, >, und =.
Der Defintionsbereich (Definitionsmenge) einer Abbildung oder einer Funktion wird durch eine Menge aller Elemente (beispielsweise Zahlen) bestimmt, welche von dieser Funktion abgebildet werden. Auch zwei Funktionen die in ihrer Abbildungsvorschrift übereinstimmen, jedoch einen unterschiedlichen Definitionsbereich besitzen, sind voneinander verschieden.
Unter Wertemenge (Wertebereich) wird die Menge aller möglichen Werte verstanden, welche die entsprechende Funktion innerhalb ihres Definitionsbereichs annehmen kann.
Festkommadarstellung - Gleitkommadarstellung - Festkommazahlen - Gleitkommazahlen - Fließkommazahlen

Die Darstellung eines Zahlenwerts in der Form 46807,3 (Festkommazahl) wird als Festkommadarstellung bezeichnet, da die Position des Dezimaltrennzeichens hierbei stets fest vergegeben ist.
Wird diese Zahl in der Form 46,8073·103 (Gleitkommazahl oder Fließkommazahl) ausgegeben, so wird von einer Gleitkommadarstellung gesprochen. Hierbei ist die Position des Trennzeichens (Kommas) abhängig von der entsprechenden Zehnerpotenz, die dieser Zahl zugeordnet wird. Diese Darstellungsarten verwenden für die entsprechenden Zehnerpotenzen das Zeichen E bzw. e. Somit lautet die Darstellung der Zahl 0,00743 bzw. 7,43·10-3 in diesem Fall 7,43·E-03.
Beide dieser Darstellungsformen werden im Programm bei der Ausgabe numerischer Ergebnisse verwendet.
Exponentialschreibweise - Exponentialdarstellung - Dezimaldarstellung - Dezimalschreibweise - Wissenschaftliche Schreibweise - Format
Zahlen, welche innerhalb eines bestimmten Wertebereichs liegen werden in Dezimalschreibweise (bzw. Dezimaldarstellung) ausgegeben. Sehr große oder sehr kleine Zahlen werden vom Programm in der Exponentialschreibweise (wissenschaftliche Schreibweise) bzw. Exponentialdarstellung dargestellt. Beispiele hierfür sind die Zahlen 6,97·10-7 und 4,66·108.
Die Basiszahlen 6,97 bzw. 4,66 werden als (rationale) Mantisse bezeichnet. Die Zahlen 10-7 sowie 108 werden als Exponenten bezeichnet. Das Dezimaltennzeichen der Mantisse wird um exakt diese Anzahl an Stellen verschoben gedacht, die im (ganzzahligen) Exponenten angegeben sind. Bei einem positiven Exponenten wird sie nach rechts verschoben, bei einem negativen Exponenten nach links.
Beispiele:
4,21·105 = 421 000 (Verschiebung des Dezimaltrennzeichens um 5 Stellen nach rechts)
6,92·10−6 = 0,00000692 (Verschiebung des Dezimaltrennzeichens um 6 Stellen nach links)
Variable - Abhängige Variable - Unabhängige Variable
Eine Variable wird in der Mathematik als abhängig bezeichnet, wenn deren Wert vom Effekt einer oder mehrerer anderer Variablen (Antwortvariable(n)) abhängt. Eine Variable, welche eine abhängige Variable formt wird als unabhängig bezeichnet. Häufig wird hierbei einer unabhängigen Variable x exakt ein Element einer anderen Menge (einem Funktionswert) eine abhängige Variable, y zugeordnet. Als Beispiel sei hierfür eine Funktion y = f(x) genannt. Einer abhängigen Variable können auch mehrere unabhängige Variablen zugeordnet werden. Beispielsweise werden einer Variable z = f(x,y) die beiden unabhängigen Variablen x und y zugeordnet.
Mit Hilfe dieses Programms lassen sich unter anderem Grafiken für Arbeitsblätter zur nichtkommerziellen Nutzung für Unterrichtszwecke erstellen. Beachten Sie hierbei jedoch, dass jede Art gewerblicher Nutzung dieser Grafiken und Texte untersagt ist und dass Sie zur Verfielfältigung hiermit erstellter Arbeitsblätter und Unterrichtsmaterialien eine schriftliche Genehmigung des Autors (unseres Unternehmens) benötigen.
Diese kann von einem registrierten Kunden, der im Besitz einer gültigen Softwarelizenz für das entsprechende Programm ist, bei Bedarf unter der ausdrücklichen Schilderung des beabsichtigten Verfielfältigungszwecks sowie der Angabe der Anzahl zu verfielfältigender Exemplare für das entsprechende Arbeitsblatt unter der auf der Impressum-Seite dieses Angebots angegebenen Email-Adresse eingeholt werden. Es gelten unsere AGB.
Dieses Programm eignet sich neben seinem Einsatz als Berechnungs- bzw. Animationsprogramm zudem zum Lernen, zur Aneignung entsprechenden Fachwissens, zum Verstehen sowie zum Lösen verschiedener Aufgaben zum behandelten Fachthema der Mathematik. Durch seine einfache interaktive Handhabbarkeit bietet es die auch Möglichkeit der Durchführung unterschiedlicher Untersuchungen hierzu. Des Weiteren eignet es sich beim Üben dazu, um das Erlernte hinsichtlich praktizierter Übungen bzw. bearbeiteter Übungsaufgaben zu überprüfen und hierzu erworbenes Wissen festigen zu können.
Es kann sowohl zur Einführung in das entsprechende Fachthemengebiet, wie auch zur Erweiterung des bereits hierzu erlangten Fachwissens sowie als Unterstützung bei der Bearbeitung von Anwendungsaufgaben genutzt werden. Des Weiteren eignet es sich auch als Begleiter bei der Bearbeitung von Abituraufgaben sowie zur Vorbereitung auf Klassenarbeiten, zur Unterstützung bei der Abiturvorbereitung und zur Intensivierung des erforderlichen Wissens beim Abitur (Abi) im Mathe-Leistungskurs (LK).
Mittels der anschaulichen Gestaltung und einfachen Bedienbarbarkeit einzelner Module dieser Software können Fragen zum entsprechenden Themengebiet, die mit den Worten Was ist?, Was sind?, Wie?, Wieviel?, Was bedeutet?, Weshalb?, Warum? beginnen beantwortet werden.
Eine mathematische Herleitung dient dazu, zu erklären, weshalb es zu einer Aussage kommt. Derartige Folgerungen sind unter anderem dazu dienlich, um zu verstehen, weshalb eine Formel bzw. Funktion Verwendung finden kann. Dieses Modul kann auch in diesem Fall hilfreich sein und ermöglicht es durch dessen Nutzung oftmals, einer entsprechenden Herleitung bzw. einem mathematischen Beweis zu folgen, oder einen Begriff zum entsprechenden Fachthema zu erklären.
Bei Fragen deren Wörter Welche?, Welcher?, Welches?, Wodurch? bzw. Wie rechnet man? oder Wie berechnet man? sind, können zugrunde liegende Sachverhalte oftmals einfach erklärt und nachvollzogen werden. Auch liefert diese Applikation zu vielen fachthemenbezogenen Problemen eine Antwort und stellt eine diesbezüglich verständliche Beschreibung bzw. Erklärung bereit.
Screenshots einiger mathematischer Grundfunktionen

Grafische Darstellung | Funktion f(x) = sin(x) | Funktion f(x) = cos(x)

Grafische Darstellung | Funktion f(x) = tan(x) | Funktion f(x) = cot(x)

Grafische Darstellung | Funktion f(x) = arcsin(x) | Funktion f(x) = arccos(x)

Grafische Darstellung | Funktion f(x) = arctan(x) | Funktion f(x) = arccot(x)

Grafische Darstellung | Funktion f(x) = sinh(x) | Funktion f(x) = cosh(x)

Grafische Darstellung | Funktion f(x) = tanh(x) | Funktion f(x) = coth(x)

Grafische Darstellung | Funktion f(x) = arsinh(x) | Funktion f(x) = arcosh(x)

Grafische Darstellung | Funktion f(x) = artanh(x) | Funktion f(x) = arcoth(x)

Grafische Darstellung | Funktion f(x) = sec(x) | Funktion f(x) = csc(x)

Grafische Darstellung | Funktion f(x) = arcsec(x) | Funktion f(x) = arccsc(x)

Grafische Darstellung | Funktion f(x) = sech(x) | Funktion f(x) = csch(x)

Grafische Darstellung | Funktion f(x) = arcsech(x) | Funktion f(x) = arccsch(x)

Grafische Darstellung | Funktion f(x) =arctan2(2,x) | Funktion f(x) = ln(x)

Grafische Darstellung | Funktion f(x) = ld(x) | Funktion f(x) = log(x)

Grafische Darstellung | Funktion f(x) = logbase(3;x) | Funktion f(x) = exp(x)

Grafische Darstellung | Funktion f(x) = exp2(x) | Funktion f(x) = exp10(x)

Grafische Darstellung | Funktion f(x) = abs(x) | Funktion f(x) = sqrt(x)

Grafische Darstellung | Funktion f(x) = sqr(x) | Funktion f(x) = int(x)
Screenshots von Wertetabellen

Eigenschaften trigonometrischer Funktionen - Funktionseigenschaften - Übersicht
In den nachfolgend gezeigten Tabellen sind wesentliche Eigenschaften wichtiger trigonometrischer Funktionen aufgeführt.
Als Arkusfunktionen werden Umkehrfunktionen trigonometrischer Funktionen bezeichnet. Diese sind auf bestimmte Intervalle beschränkt. Aereafunktionen sind streng monoton wachsende und umkehrbare Funktionen. Sie sind Umkehrfunktionen der Hyperbelfunktionen. Hyperbelfunktionen sind nicht umkehrbar. Sie lassen sich unter Verwendung der Exponentialfunktionen ex und e-x beschreiben.
Eigenschaften von Sinusfunktionen und Cosinusfunktionen:
| y = sin(x) | y = cos(x) | |
| Definitionsbereich | -∞ < x < ∞ | -∞ < x < ∞ |
| Wertebereich / Wertemenge | -1 ≤ y ≤ 1 | -1 ≤ y ≤ 1 |
| Periode | 2π | 2π |
| Symmetrie | ungerade | gerade |
| Nullstellen | xk = k·π | xk = π/2 + k·π |
| Relative Maxima | xk = π/2 + k·2π | xk = k·2π |
| Relative Minima | xk = 3π/2 + k·2π | xk = π + k·2π |
Eigenschaften von Tangensfunktionen und Cotangensfunktionen:
| y = tan(x) | y = cot(x) | |
| Definitionsbereich | x ∈ R mit Ausnahme der Stellen xk = π/2 + k·π | x ∈ R mit Ausnahme der Stellen xk = k·π |
| Wertebereich / Wertemenge | -∞ < x < ∞ | -∞ < x < ∞ |
| Periode | π | π |
| Symmetrie | ungerade | ungerade |
| Nullstellen | xk = k·π | xk = π/2 + k·π |
| Pole | xk = π/2 + k·π | xk = k·π |
| Vertikale Asymptoten | x = π/2 + k·π | x = k·π |
Eigenschaften von Arkussinusfunktionen und Arkuscosinusfunktionen:
| y = arcsin(x) | y = arccos(x) | |
| Definitionsbereich | -1 ≤ x ≤ 1 | -1 ≤ x ≤ 1 |
| Wertebereich / Wertemenge | -π/2 ≤ y ≤ π/2 | 0 ≤ y ≤ π |
| Periode | π | π |
| Symmetrie | ungerade | - |
| Nullstellen | x1 = 0 | x1 = 1 |
| Monotonie | streng monoton wachsend | streng monoton fallend |
Eigenschaften von Arkustangensfunktionen und Arkuscotangensfunktionen:
| y = arctan(x) | y = arccot(x) | |
| Definitionsbereich | -∞ < x < ∞ | -∞ < x < ∞ |
| Wertebereich / Wertemenge | -π/2 ≤ y ≤ π/2 | 0 ≤ y ≤ π |
| Symmetrie | ungerade | - |
| Asymptoten | y = ± π | y = 0; y = π |
| Monotonie | streng monoton wachsend | streng monoton fallend |
Eigenschaften der hyperbolischen Funktionen sinh(x) und cosh(x):
| y = sinh(x) | y = cosh(x) | |
| Definitionsbereich | -∞ < x < ∞ | -∞ < x < ∞ |
| Wertebereich / Wertemenge | -∞ < y < ∞ | 1 ≤ y < ∞ |
| Symmetrie | ungerade | gerade |
| Nullstellen | x1 = 0 | - |
| Extremwerte | - | x1 = 0 (Minimum) |
| Monotonie | streng monoton wachsend | - |
Eigenschaften der hyperbolischen Funktionen tanh(x) und coth(x):
| y = tanh(x) | y = coth(x) | |
| Definitionsbereich | -∞ < x < ∞ | |x| > 0 |
| Wertebereich / Wertemenge | -1 < y < 1 | |y| > 1 |
| Symmetrie | ungerade | ungerade |
| Pole | - | x1 = 0 |
| Asymptoten | y = ±1 | x = 0 ; y = ±1 |
| Monotonie | streng monoton wachsend | - |
Eigenschaften der Areafunktionen arsinh(x) und arcosh(x):
| y = arsinh(x) | y = arcosh(x) | |
| Definitionsbereich | -∞ < x < ∞ | x ≥ 1 |
| Wertebereich / Wertemenge | -∞ < y < ∞ | y ≥ 0 |
| Symmetrie | ungerade | - |
| Nullstellen | x1 = 0 | x1 = 1 |
| Monotonie | streng monoton wachsend | streng monoton wachsend |
Eigenschaften der Areafunktionen artanh(x) und arcoth(x):
| y = artanh(x) | y = arcoth(x) | |
| Definitionsbereich | -1 < x < 1 | |x| ≥ 1 |
| Wertebereich / Wertemenge | -∞ < y < ∞ | |y| ≥ 0 |
| Symmetrie | ungerade | ungerade |
| Nullstellen | x1/2 = ±1 | - |
| Monotonie | streng monoton wachsend | - |
| Asymptoten | x = ±1 | x = ±1 ; y = 0 |
Beziehungen zwischen Arkusfunktionen
Im Weiteren sind einige wichtige Beziehungen zwischen den Arkusfunktionen aufgeführt.
arctan x + arccos x = π/2
arcsin x = arctan (x/√1 - x²)
arccos x = arccot (x/√1 - x²)
arctan x + arccot x = π/2
arctan x = arcsin (x/√1 + x²)
arccot x = arccos (x/√1 + x²)
arccot x + arctan (1/x) für x > 0
arccot x + arctan (1/x) + π für x < 0
sin (arccos x) = √1 - x²
cos (arcsin x) = √1 - x²
tan (arcsin x) = x/√1 - x²
sin (arctan x) = x/√1 + x²
cos(arctan x) = x/√1 + x²
tan (arccos x) = √1 - x²/x
arcsin (-x) = -arcsin (x)
arctan (-x) = -arctan (x)
arccos (-x) = π - arccos (x)
arccot (-x) = π - arccot (x)
arccot x = π/2 - arctan x
Umrechnungen zwischen den Hyperbelfunktionen
In der nachfolgend aufgeführten Tabelle sind Umrechnungen zwischen den Hyperbelfunktionen Sinus hyperbolicus und Cosinus hyperbolicus aufgeführt.
| sinh x | cosh x | |
| sinh x | - | ± √cosh² x - 1 |
| cosh x | √sinh² x + 1 | - |
| tanh x | sinh(x)/√sinh² x + 1 | ± √cosh² x - 1/cosh(x) |
| coth x | √sinh² x + 1/sinh(x) | ± cosh(x)/√cosh² x - 1 |
In der nachfolgend aufgeführten Tabelle sind Umrechnungen zwischen den Hyperbelfunktionen Tangens hyperbolicus und Cotangens hyperbolicus aufgeführt.
| tanh x | coth x | |
| sinh x | tanh(x)/√1- tanh² x | ± 1/√coth² x - 1 |
| cosh x | 1/√1- tanh² x | coth(x)/√coth² x -1 |
| tanh x | - | 1/coth(x) |
| coth x | 1/tanh(x) | - |
Zusammenhänge zwischen Hyperbelfunktionen
Im Weiteren sind einige elemantare Beziehungen zwischen den Hyperbelfunktionen aufgeführt.
cosh² x - sinh² x = 1
tanh x = sinh(x) / cosh(x)
coth x = cosh(x) / sinh(x) = 1/tanh(x)
Hyperbelfunktionen - Definition - Additionstheoreme - Doppelte Winkel - Potenzen - Summen - Differenzen - Produkte - Formeln
Definition von Hyperbelfunktionen:
sinh(x) = (ex - e-x)/2
cosh(x) = (ex + e-x)/2
tanh(x) = (ex - e-x)/(ex + e-x)
coth(x) = (ex + e-x)/(ex - e-x)
Additionstheoreme hyperbolischer Funktionen:
sinh(x1 ± x2) = sinh x1· cosh x2 ± cosh x1· sinh x2
cosh(x1 ± x2) = cosh x1· cosh x2 ± sinh x1· sinh x2
tanh(x1 ± x2) = (tanh x1 ± tanh x2)/(1 ± tanh x1 · tanh x2)
coth(x1 ± x2) = (1 ± coth x1 · coth x2)/(coth x1 ± coth x2)
Formeln für doppelte Argumente von hyperbolischen Funktionen:
sinh(2x) = 2 · sinh(x) · cosh(x)
sinh(2x) = cosh²(x) + sinh²(x) = 2 · cosh²(x) - 1
tanh(2x) = 2 · tanh(x) / (1 + tanh²(x))
Formeln für dreifache Argumente von hyperbolischen Funktionen:
sinh(2x) = 3 · sinh(x) + 4 · sinh3(x)
cosh(3x) = 4 · cosh3(x) - 3 · cosh(x)
tanh(3x) = ( 3 · tanh(x) + 3 · tanh3(x) ) / ( 1+ 3 · tanh²(x) )
Formeln für Potenzen von hyperbolischen Funktionen:
sinh²(x) = 1/2 [cosh(2x) - 1]
sinh³(x) = 1/4 [sinh(3x) - 3 · sinh(x)]
sinh4(x) = 1/8 [cosh(4x) - 4 · cosh(2x) +3]
cosh²(x) = 1/2 [cosh(2x) + 1]
cosh³(x) = 1/4 [cosh(3x) + 3 · cosh(x)]
cosh4(x) = 1/8 [cosh(4x) + 4 · cosh(2x) +3]
Formeln für Summen und Differenzen von hyperbolischen Funktionen:
sinh(x1) + sinh(x2) = 2 · sinh((x1 + x2)/2) · cosh((x1 - x2)/2)
sinh(x1) - sinh(x2) = 2 · cos((x1 + x2)/2) · sinh((x1 - x2)/2)
cosh(x1) + cosh(x2) = 2 · cosh((x1 + x2)/2) · cosh((x1 - x2)/2)
cosh(x1) - cosh(x2) = 2 · sinh((x1 + x2)/2) · sinh((x1 - x2)/2)
tanh(x1) ± tanh(x2) = sinh(x1 ± x2) / (cosh(x1) · cosh(x2))
Formeln für Produkte von hyperbolischen Funktionen:
sinh(x1) · sinh(x2) = 1/2 · [cosh(x1 + x2) - cosh(x1 - x2)]
cosh(x1) · cosh(x2) = 1/2 · [cosh(x1 + x2) + cosh(x1 - x2)]
sinh(x1) · cosh(x2) = 1/2 · [sinh(x1 + x2) + sinh(x1 - x2)]
tanh(x1) · tanh(x2) = (tanh(x1) + tanh(x2)) / (coth(x1) + coth(x2))
Satz von Moivre:
(cosh(x) ± sinh(x))n = cosh(nx) ± sinh(nx) mit n = 2, 3, 4 ...
Umrechnungen zwischen den Areafunktionen
In der nachfolgend aufgeführten Tabelle sind Umrechnungen zwischen den Areafunktionen Area sinus hyperbolicus und Area cosinus hyperbolicus aufgeführt.
| arsinh x | arcosh x | |
| arsinh x | - | ± arcosh√x² + 1 |
| arcosh x | arsinh√x² - 1 | - |
| artanh x | arsinh(x/√1 - x²) | ± arcosh(1/√1 - x²) |
| arcoth x | arsinh(1/√x² - 1) | ± arcosh(x/√x² - 1) |
In der nachfolgend aufgeführten Tabelle sind Umrechnungen zwischen den Areafunktionen Area tangens hyperbolicus und Area cotangens hyperbolicus aufgeführt.
| artanh x | arcoth x | |
| arsinh x | artanh(x/√x² + 1) | arcoth(√x² + 1/x) |
| arcosh x | artanh(√x² - 1/x) | arcoth(x/√x² - 1) |
| artanh x | - | arcoth(1/x) |
| arcoth x | artanh(1/x) | - |
Areafunktionen - Definition - Additionstheoreme
Definition von Areafunktionen:
arsinh(x) = ln (x + √x² + 1)
arcosh(x) = ln (x + √x² - 1)
artanh(x) = 1/2 · ln ((1 + x)/(1 - x))
arcoth(x) = 1/2 · ln ((x + 1)/(x - 1))
Additionstheoreme von Areafunktionen:
arsinh(x1) ± arsinh(x2) = arsinh [x1√1 + x2² ± x2√1 + x1²]
arcosh(x1) ± arcosh(x2) = arcosh [x1x2 ± √(x1² - 1)(x2² - 1)]
artanh(x1) ± artanh(x2) = artanh ((x1 ± x2)/(1 ± x1x2))
arcoth(x1) ± arcoth(x2) = arcoth ((1 ± x1x2)/(x1 ± x2))
Definition und Eigenschaften der Exponentialfunktionen
Nachfolgend aufgeführt sind einige wichtige Eigenschaften der Exponentialfunktionen:
1. e-Funktion
y = ex
Defintionsbereich: -∞ < x < ∞
Wertebereich: 0 < y < ∞
e: Eulersche Zahl
2. Allgemeine Exponentialfunktion
y = ax
Basis: a > 0 ; a ≠ 1
Defintionsbereich: -∞ < x < ∞
Wertebereich: 0 < y < ∞
Asymptote: y = 0
Eine Funktion y = ax ist ebenfalls als e-Funktion darstellbar:
y = ax = eln(a)x
Definition und Eigenschaften der Logarithmusfunktionen
Im Weiteren aufgeführt sind einige wichtige Eigenschaften der Logarithmusfunktionen:
1. Allgemeine Logarithmusfunktion
y = logax
Defintionsbereich: x > 0
Wertebereich: -∞ < y < ∞
Asymptote: x = 0
Nullstelle (Schnittpunkt mit x-Achse): N (1,0)
Monotonie:
0 < a < 1: streng monoton fallend
a > 1: streng monoton wachsend
2. Natürliche Logarithmusfunktion
y = ln x
Defintionsbereich: x > 0
Wertebereich: -∞ < y < ∞
Monotonie: streng monoton wachsend
Nullstelle (Schnittpunkt mit x-Achse): N (1,0)
3. Zehnerlogarithmusfunktion
y = log10x = lg x
Defintionsbereich: x > 0
Wertebereich: -∞ < y < ∞
Monotonie: streng monoton wachsend
Nullstelle (Schnittpunkt mit x-Achse): N (1,0)
4. Zweierlogarithmusfunktion
y = log2x = ld x
Defintionsbereich: x > 0
Wertebereich: -∞ < y < ∞
Monotonie: streng monoton wachsend
Nullstelle (Schnittpunkt mit x-Achse): N (1,0)
Spezielle Funktionen
Im Folgenden finden Sie die Liste spezieller mathematischer Funktionen, die verwendet werden können.
Bessel-Funktionen und verwandte Funktionen
| Funktion | Erklärung / Bedeutung | Syntax-Beispiel |
| Airy Ai(x) | Airy-Funktion Ai(x) | AIRYAI(X) |
| Airy Bi(x) | Airy-Funktion Bi(x) | AIRYBI(X) |
| Airy Gi(x) | Airy/Scorer-Funktion Gi(x) | AIRYGI(X) |
| Airy Hi(x) | Airy/Scorer-Funktion Hi(x) | AIRYHI(X) |
| Airy Aip(x) | Airy-Funktion Ai'(x) | AIRYAIP(X) |
| Airy Bip(x) | Airy-Funktion Bi'(x) | AIRYBIP(X) |
| Airy Ais(x) | Skalierte Airy-Funktion Ai(x) | AIRYAIS(X) |
| Airy Bis(x) | Skalierte Airy-Funktion Bi(x) | AIRYBIS(X) |
| Bessel In(n;x) | Modifizierte Bessel-Funktion 1. Gattung, n-ter Ordnung | BESSELIN(2;X) |
| Bessel Jn(n;x) | Bessel-Funktion 1. Gattung, n-ter Ordnung | BESSELJN(1;X) |
| Bessel Kn(n;x) | Modifizierte Bessel-Funktion 2. Gattung, n-ter Ordnung | BESSELKN(1;X) |
| Bessel Yn(n;x) | Bessel-Funktion 2. Gattung, n-ter Ordnung | BESSELYN(1;X) |
| Kelvin Ber(x) | Kelvin-Funktion Ber(x) | KELVINBER(X) |
| Kelvin Bei(x) | Kelvin-Funktion Bei(x) | KELVINBEI(X) |
| Kelvin Ker(x) | Kelvin-Funktion Ker(x) | KELVINKER(X) |
| Kelvin Kei(x) | Kelvin-Funktion Kei(x) | KELVINKEI(X) |
| Spherical Bessel In(n;x) | Modifizierte sphärische Bessel-Funktion 1. und 2. Gattung, n-ter Ordnung | SPHBESSELIN(1;X) |
| Spherical Bessel Jn(n;x) | Sphärische Bessel-Funktion 1. Gattung, n-ter Ordnung | SPHBESSELJN(1;X) |
| Spherical Bessel Kn(n;x) | Modifizierte sphärische Bessel-Funktion 3. Gattung, n-ter Ordnung | SPHBESSELKN(1;X) |
| Spherical Bessel Yn(n;x) | Sphärische Bessel-Funktion 2. Gattung, n-ter Ordnung | SPHBESSELYN(1;X) |
| Struve L(n;x) | Struve-L-Funktion der Ordnung n | STRUVEL(3;X) |
| Struve H(n;x) | Struve-H-Funktion der Ordnung n | STRUVEH(2;X) |
Elliptische Integrale - Elliptische Funktionen und Theta-Funktionen
| Funktion | Erklärung / Bedeutung | Syntax-Beispiel |
| Cel(kc;p;a;b) | Allgemeines Bulirsch'sches komplettes elliptisches Integral 1. Gattung | CEL(X;2;1;1) |
| Cel1(kc) | Bulirsch'sches komplettes elliptisches Integral 1. Gattung | CEL1(X) |
| Cel2(kc;a;b) | Bulirsch'sches komplettes elliptisches Integral 2. Gattung | CEL2(X;3;1) |
| El1(x;kc) | Bulirsch'sches unvollständiges elliptisches Integral 1. Gattung | EL1(X;2) |
| El2(x;kc;a;b) | Bulirsch'sches unvollständiges elliptisches Integral 2. Gattung | EL2(X;2;2;1) |
| El3(x;kc;p) | Bulirsch'sches unvollständiges elliptisches Integral 3. Gattung | EL3(X;2;2) |
| Ellint1(f;k) | Legendre'sches elliptisches Integral F | ELLINT1(X;1) |
| Ellint2(f;k) | Legendre'sches elliptisches Integral E | ELLINT2(X;1) |
| Ellint3(f;n;k) | Legendre'sches elliptisches Integral PI | ELLINT3(X;2;1) |
| EllRC(x;y) | Carlson's degeneriertes ellipt. Integral RC | ELLRC(X;Y) |
| EllRF(x;y;z) | Carlson's elliptisches Integral 1. Gattung RF | ELLRF(X;Y;Z) |
| EllRD(x;y;z) | Carlson's elliptisches Integral 2. Gattung RD | ELLRD(X;Y;Z) |
| EllRJ(x;y;z;r) | Carlson's elliptisches Integral 3. Gattung RJ | ELLRJ(X;Y;Z;3) |
| EllipticF(z;k) | Unvollständiges elliptisches Integral 1. Gattung | ELLIPTICF(1/2;X) |
| EllipticE(z;k) | Unvollständiges elliptisches Integral 2. Gattung | ELLIPTICE(1/2;X) |
| EllipticPiC(u;k) | Vollständiges elliptisches Integral 3. Gattung | ELLIPTICPIC(1/2;X) |
| EllipticCPi(u;kc) | Komplementäres vollständiges elliptisches Integral 3. Gattung | ELLIPTICCPI(1/2;X) |
| EllipticK(k) | Komplettes elliptisches Integral 1. Art | ELLIPTICK(X) |
| EllipticCK(k) | Komplementäres komplettes elliptisches Integral 1. Art | ELLIPTICCK(X) |
| EllipticEC(k) | Komplettes elliptisches Integral 2. Art | ELLIPTICEC(X) |
| EllipticCE(k) | Komplementäres komplettes elliptisches Integral 2. Art | ELLIPTICCE(X) |
| Heuman lambda(f;k) | Heuman's Lambda-Funktion | HEUMAN LAMBDA(0,3;X) |
| Jacobi am(x;k) | Jacobi-Amplitude | JACOBIAM(X;2) |
| Jacobi cn(x;k) | Jacobische elliptische Funktion cosinus amplitudinis | JACOBICN(X;0,5) |
| Jacobi dn(x;k) | Jacobische elliptische Funktion delta amplitudinis | JACOBIDN(X;0,8) |
| Jacobi sn(x;k) | Jacobische elliptische Funktion sinus amplitudinis | JACOBISN(X;0,2) |
| Jacobi arcdn(x;k) | Inverse Jacobische elliptische Funktion arcusdelta amplitudinis | JACOBIARCDN(X;0,8) |
| Jacobi arccn(x;k) | Inverse Jacobische elliptische Funktion arcuscosinus amplitudinis | JACOBIARCCN(X;0,5) |
| Jacobi arcsn(x;k) | Inverse Jacobische elliptische Funktion arcussinus amplitudinis | JACOBIARCSN(X;0,2) |
| Jacobi Theta(n;x;q) | Jacobische Theta-Funktionen 1-4 | JACOBITHETA(2;X;0,5) |
| Jacobi Zeta(f;k) | Jacobische Zeta-Funktion | JACOBIZETA(X;1) |
| Coslemn(r) | Cosinus lemniscatus | COSLEMN(X) |
| Sinlemn(r) | Sinus lemniscatus | SINLEMN(X) |
| Funktion | Erklärung / Bedeutung | Syntax-Beispiel |
| Dawson(x) | Dawson-Integral | DAWSON(X) |
| Dawson2(p;x) | Verallgemeinertes Dawson-Integral | DAWSON2(3;X) |
| Erf(x) | Error-Funktion | ERF(X) |
| Erfc(x) | Komplementäre Error-Funktion | ERFC(X) |
| Erfinv(x) | Inverse der Error-Funktion | ERFINV(X) |
| Erfcinv(x) | Inverse der komplementären Error-Funktion | ERFCINV(X) |
| Erfi(x) | Imaginäre Error-Funktion | ERFI(X) |
| Fresnelcos(x) | Fresnel-Cosinus | FRESNELCOS(X) |
| Fresnelsin(x) | Fresnel-Sinus | FRESNELSIN(X) |
| Gsi(x) | Goodwin-Staton-Integral | GSI(X) |
Exponential-Integrale und verwandte Integrale
| Funktion | Erklärung / Bedeutung | Syntax-Beispiel |
| Chi(x) | Cosinus-Hyperbolicus-Integral | CHI(X) |
| Ci(x) | Cosinus-Integral | CI(X) |
| Cin(x) | Vollständiges Cosinus-Integral | CIN(X) |
| Cinh(x) | Vollständiges Cosinus-Hyperbolicus-Integral | CINH(X) |
| E1(x) | Exponential-Integral E1 | E1(X) |
| Ei(x) | Exponential-Integral Ei | EI(X) |
| Ein(x) | Vollst. Exponential-Integral | EIN(X) |
| Einv(x) | Inverse des Exponential-Integrals Ei(x) | EINV(X) |
| En(n;x) | Exponential-Integral En | EN(3;X) |
| Li(x) | Logarithmisches Integral | LI(X) |
| Linv(x) | Inverse des logarithmischen Integrals Li(x) | LINV(X) |
| Shi(x) | Sinus hyperbolicus-Integral | SHI(X) |
| Si(x) | Sinus-Integral | SI(X) |
Gamma-Funktion und verwandte Funktionen
| Funktion | Erklärung / Bedeutung | Syntax-Beispiel |
| Bateman G(x) | Bateman-Funktion | BATEMANG(X) |
| Beta(x;y) | Beta-Funktion | BETA(X;3) |
| Gamma(x) | Gamma-Funktion | GAMMA(X) |
| Gamma ratio(x;y) | Verhältnis zweier Gamma-Funktionen | GAMMA RATIO(X;2) |
| Gammastar(x) | Temmes regulierte Gamma-Funktion (Gammastar) | GAMMASTAR(X) |
| ibeta(a;b;x) | Normalisierte unvollständige Beta-Funktion | IBETA(9;1;X) |
| ibetainv(a;b;y) | Inverse der normalisierten unvollständigen Beta-Funktion | IBETAINV(2;4;X) |
| igamma(s;x) | Nicht normalisierte unvollständige Gammafunktion der oberen Grenze | IGAMMA(2;X) |
| igammal(s;x) | Nicht normalisierte unvollständige Gammafunktion der unteren Grenze | IGAMMAL(2;X) |
| igammap(s;x) | Normalisierte unvollständige Gamma-Funktion der unteren Grenze | IGAMMAP(2;X) |
| igammaq(s;x) | Normalisierte unvollständige Gamma-Funktion der oberen Grenze | IGAMMAQ(2;X) |
| igammapinv(s;p) | Inverse der unvollständigen Gamma-Funktion | IGAMMAPINV(2;X) |
| igammaqinv(s;p) | Inverse der komplementären unvollständigen Gamma-Funktion | IGAMMAQINV(2;X) |
| Invgamma(y) | Inverse der Gamma-Funktion | INVGAMMA(X) |
| Lnbeta(x;y) | Natürlicher Logarithmus der Beta-Funktion | LNBETA(2;X) |
| Lngamma(x) | Natürlicher Logarithmus der Gamma-Funktion ln(|gamma(x)|) | LNGAMMA(X) |
| Lngammap(x) | Natürlicher Logarithmus der Gamma-Funktion ln(|gamma(x+1)|) | LNGAMMAP(X) |
| Pentagamma(x) | Pentagamma-Funktion | PENTAGAMMA(X) |
| Poch hammer(a;x) | Pochhammer-Funktion | POCH HAMMER(2;X) |
| Polygamma(n;x) | Polygamma-Funktion | POLYGAMMA(2;X) |
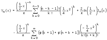
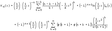
| Psi(x) | Psi-(Digamma)-Funktion | PSI(X) |
| PsiInv(y) | Inverse der Psi-(Digamma)-Funktion | PSIINV(X) |
| RGamma(x) | Reziproke Gamma-Funktion | RGAMMA(X) |
| Tetragamma(x) | Tetragamma-Funktion | TETRAGAMMA(X) |
| Trigamma(x) | Trigamma-Funktion | TRIGAMMA(X) |
Zeta-Funktionen und polylogarithmische Funktionen
| Funktion | Erklärung / Bedeutung | Syntax-Beispiel |
| Cl2(x) | Clausen-Funktion | CL2(X) |
| Dilog(x) | Dilogarithmische Funktion | DILOG(X) |
| Dirichlet Beta(s) | Dirichletsche Beta-Funktion | DIRICHLET BETA(X) |
| Dirichlet Lambda(s) | Dirichletsche Lambda-Funktion | DIRICHLET LAMBDA(X) |
| Eta(s) | Dirichletsche Eta-Funktion | ETA(X) |
| Fermi Dirac M05(x) | Komplettes Fermi-Dirac Integral F(-1/2) | FERMIDIRAC M05(X) |
| Fermi Dirac P05(x) | Komplettes Fermi-Dirac Integral F(1/2) | FERMIDIRAC P05(X) |
| Fermi Dirac P15(x) | Komplettes Fermi-Dirac Integral F(3/2) | FERMIDIRAC P15(X) |
| Fermi Dirac P25(x) | Komplettes Fermi-Dirac Integral F(5/2) | FERMIDIRAC P25(X) |
| Harmonic(x) | Harmonische Reihen-Funktion H(x) | HARMONIC(X) |
| HarmonicH(x;r) | Verallgem. harmon. Reihen-Funktion | HARMONICH(X;2) |
| Legendre Chi(z;x) | Legendresche Chi-Funktion | LEGENDRE CHI(2;X) |
| LerchPhi(l;s;a) | Lerchsche transzendente Phi-Funktion | LERCHPHI(X;1;2) |
| Lobachev skyC(x) | Lobachevsky-Funktion L(x) | LOBACHEV SKYC(X) |
| Lobachev skyS(x) | Lobachevsky-Funktion Lambda(x) | LOBACHEV SKYS(X) |
| PolyLog(n;x) | Ganzzahliger Polylogarithmus | POLYLOG(2;X) |
| PolyLogR(s;x) | Reller Polylogarithmus | POLYLOGR(5;X) |
| Primzeta(s) | Primzeta-Funktion P(s) | PRIMEZETA(X) |
| Ti2(x) | Inverses Tangens-Integral | TI2(X) |
| Zeta(s) | Riemannsche Zeta-Funktion | ZETA(X) |
| Zetah(s;a) | Hurwitzsche Zeta-Funktion | ZETAH(2;X) |
Orthogonale Polynome, Legendre-Polynome und verwandte Funktionen
| Funktion | Erklärung / Bedeutung | Syntax-Beispiel |
| Chebyshev T(n;x) | Chebyshev-Polynome 1. Art | CHEBYSHEVT(4;X) |
| Chebyshev U(n;x) | Chebyshev-Polynome 2. Art | CHEBYSHEVU(3;X) |
| Chebyshev V(n;x) | Chebyshev-Polynome 3. Art | CHEBYSHEVV(2;X) |
| Chebyshev W(n;x) | Chebyshev-Polynome 4. Art | CHEBYSHEVW(5;X) |
| Gegenbauer C(n;a;x) | Gegenbauer-Polynome | GEGEN BAUERC(3;2;X) |
| Hermite H(n;x) | Hermitesche Polynome | HERMITEH(2;X) |
| Hermite He(n;x) | Hermitesche Polynome (Physiker-Konvention) | HERMITEHE(3;X) |
| Laguerre(n;x) | Laguerre-Polynome | LAGUERRE(2;X) |
| LaguerreAss(n;m;x) | Zugeordnete Laguerre-Polynome | LAGUERRE ASS(2;2;X) |
| Legendre P(k;x) | Legendre-Polynome | LEGENDREP(1;X) |
| Legendre Plm(k;m;x) | Zugeordnete Legendre-Polynome | LEGENDREPLM(5;0;X) |
| Legendre Q(k;x) | Legendre-Funktionen 2. Art | LEGENDREQ(2;X) |
| Legendre Qlm(k;m;x) | Zugeordnete Legendre-Funktionen | LEGENDRE QLM(8;0;X) |
| Zernike R(n;m;r) | Zernike-Polynome | ZERNIKER(3;1;X) |
| Funktion | Erklärung / Bedeutung | Syntax-Beispiel |
| CylinderD(v;x) | Whittakers parabolische Zylinderfunktion D(v,x) | CYLINDERD(2;X) |
| CylinderU(a;x) | Parabolische Zylinderfunktion U(a,x) | CYLINDERU(3;X) |
| CylinderV(a;x) | Parabolische Zylinderfunktion V(a,x) | CYLINDERV(2;X) |
| WhittakerM(k;m;z) | Whittakersche M-Funktion | WHITTAKER M(2;0,5;X) |
| WhittakerW(k;m;z) | Whittakersche W-Funktion | WHITTAKER W(2;0,5;X) |
| Funktion | Erklärung / Bedeutung | Syntax-Beispiel |
| Beta PDF(a;b;x) | Beta-Verteilung - Dichte | BETAPDF(5;1;X) |
| Beta CDF(a;b;x) | Beta-Verteilung - Verteilung | BETACDF(2;5;X) |
| Binomial PMF(n;k;x) | Binomial-Verteilung - Dichte | BINOMIAL PMF(8;4;X) |
| Binomial CDF(n;k;x) | Binomial-Verteilung - Verteilung | BINOMIAL CDF(14;3;X) |
| Cauchy PDF(x0;g;x) | Cauchy-Verteilung - Dichte | CAUCHY PDF(0;1;X) |
| Cauchy CDF(x0;g;x) | Cauchy-Verteilung - Verteilung | CAUCHY CDF(-2;0,5;X) |
| Chi2 PDF(n;x) | Chi²-Verteilung - Dichte | CHI2PDF(1;X) |
| Chi2 CDF(n;x) | Chi²-Verteilung - Verteilung | CHI2CDF(3;X) |
| EVDT PDF(a;b;x) | Extreme Value Type I - Dichte | EVDTPDF(-0,5;1;X) |
| EVDT CDF(a;b;x) | Extreme Value Type I - Verteilung | EVDTCDF(2;3;X) |
| Exp PDF(a;λ;x) | Exponential-Verteilung - Dichte | EXPPDF(0;3;X) |
| Exp CDF(a;λ;x) | Exponential-Verteilung - Verteilung | EXPCDF(2;2;X) |
| F PDF(m;n;x) | F-Verteilung - Dichte | FPDF(100;10;X) |
| F CDF(m;n;x) | F-Verteilung - Verteilung | FCDF(5;5;X) |
| Gamma PDF(k;f;x) | Gamma-Verteilung - Dichte | GAMMA PDF(2;2;X) |
| Gamma CDF(k;f;x) | Gamma-Verteilung - Verteilung | GAMMA CDF(1;2;X) |
| InvGamma PDF(a;b;x) | Inverse Gamma-Verteilung - Dichte | INVGAMMA PDF(0,5;1;X) |
| InvGamma CDF(a;b;x) | Inverse Gamma-Verteilung - Verteilung | INVGAMMA CDF(0,3;2;X) |
| Laplace PDF(m;b;x) | Laplace-Verteilung - Dichte | LAPLACE PDF(-5;4;X) |
| Laplace CDF(m;b;x) | Laplace-Verteilung - Verteilung | LAPLACE CDF(2;1;X) |
| Levy PDF(m;g;x) | Levy-Verteilung - Dichte | LEVYPDF(-0,5;1;X) |
| Levy CDF(m;g;x) | Levy-Verteilung - Verteilung | LEVYCDF(2;2;X) |
| Logistic PDF(m;s;x) | Logistische Verteilung - Dichte | LOGISTIC PDF(2;3;X) |
| Logistic CDF(m;s;x) | Logistische Verteilung - Verteilung | LOGISTIC CDF(2;0,4;X) |
| LogNormal PDF(m;s;x) | Logarithm. Normalverteilung - Dichte | LOGNORMAL PDF(-2;5;X) |
| LogNormal CDF(m;s;x) | Logarithm. Normalverteilung - Verteilung | LOGNORMAL CDF(2;3;X) |
| Kumuraswamy PDF(a;b;x) | Kumaraswamy-Verteilung - Dichte | KUMURASWAMY PDF(2;5;X) |
| Kumuraswamy CDF(a;b;x) | Kumaraswamy-Verteilung - Verteilung | KUMURASWAMY CDF(1;3;X) |
| Maxwell PDF(a;x) | Maxwell-Verteilung - Dichte | MAXWELL PDF(1;X) |
| Maxwell CDF(a;x) | Maxwell-Verteilung - Verteilung | MAXWELL CDF(2;X) |
| Moyal PDF(m;s;x) | Moyal-Verteilung - Dichte | MOYAL PDF(2;2;X) |
| Moyal CDF(m;s;x) | Moyal-Verteilung - Verteilung | MOYAL CDF(-0,5;1;X) |
| NegBinom PMF(k;r;x) | Negative Binomialverteilung - Dichte | NEGBINOM PMF(2;0,7;X) |
| NegBinom CDF(k;r;x) | Negative Binomialverteilung - Verteilung | NEGBINOM CDF(2;0,1;X) |
| NormStd PDF(a;b;x) | Standard-Normalverteilung - Dichte | NORMSTD PDF(X) |
| NormStd CDF(a;b;x) | Standard-Normalverteilung - Verteilung | NORMSTD CDF(X) |
| Normal PDF(m;s²;x) | Gaußsche Normalverteilung - Dichte | NORMAL PDF(-2;5;X) |
| Normal CDF(m;s²;x) | Gaußsche Normalverteilung - Verteilung | NORMAL CDF(0;1;X) |
| Pareto PDF(k;xm;x) | Pareto-Normalverteilung - Dichte | PARETO PDF(1;2;X) |
| Pareto CDF(k;xm;x) | Pareto-Normalverteilung - Verteilung | PARETO CDF(1,1;0,5;X) |
| Poisson PMF(mu;k) | Poisson-Verteilung - Dichte | POISSONPMF(2;X) |
| Poisson CDF(mu;k) | Poisson-Verteilung - Verteilung | POISSONCDF(1;X) |
| Rayleigh PDF(s;x) | Rayleigh-Verteilung - Dichte | RAYLEIGHPDF(1;X) |
| Rayleigh CDF(s;x) | Rayleigh-Verteilung - Verteilung | RAYLEIGHCDF(2;X) |
| Triangular PDF(a;b;c;x) | Dreiecksverteilung - Dichte | TRIANGULAR PDF(0;3;1;X) |
| Triangular CDF(a;b;c;x) | Dreiecksverteilung - Verteilung | TRIANGULAR CDF(-1;1;0;X) |
| Student-t PDF(n;x) | Student-t-Verteilung - Dichte | STUDENT PDF(5;X) |
| Student-t CDF(n;x) | Student-t-Verteilung - Verteilung | STUDENT CDF(2;X) |
| Uniform PDF(a;b;x) | Uniform-Verteilung - Dichte | UNIFORM PDF(-5;5;X) |
| Uniform CDF(a;b;x) | Uniform-Verteilung - Verteilung | UNIFORM CDF(-4;3;X) |
| Wald PDF(m;l;x) | Wald-Verteilung - Dichte | WALDPDF(0,5;1;X) |
| Wald CDF(m;l;x) | Wald-Verteilung - Verteilung | WALDCDF(0,1;2;X) |
| Weibull PDF(l;k;x) | Weibull-Verteilung - Dichte | WEIBULL PDF(1/2;1;X) |
| Weibull CDF(l;k;x) | Weibull-Verteilung - Verteilung | WEIBULL CDF(4;1;X) |
| Funktion | Erklärung / Bedeutung | Syntax-Beispiel |
| BernPoly(n;x) | Bernoulli-Polynom | BERNPOLY(3;X) |
| Gd(x) | Gudermann-Funktion | GD(X) |
| ArcGd(x) | Inverse Gudermann-Funktion | ARCGD(X) |
| Debye(n;x) | Debye-Funktion | DEBYE(2;X) |
| Detai(τ) | Dedekindsche Eta-Funktion | DETAI(X) |
| FibFun(r;x) | Allgemeine Fibanocci-Funktion | FIBFUN(2,7;X) |
| FibPoly(n;x) | Fibonacci-Polynom | FIBPOLY(4;X) |
| LambertW(x) | Lambertsche W-Funktion (oberer Ast) | LAMBERTW(X) |
| LambertW1(x) | Lambertsche W-Funktion (unterer Ast) | LAMBERTW1(X) |
| LucPoly(n;x) | Lucas-Polynom | LUCPOLY(3;X) |
| Omega(z) | Wrightsche Omega-Funktion | OMEGA(X) |
| RiemannR(x) | Riemannsche Primzahl-Zähl-Funktion | RIEMANN(X) |
Einige dieser zuvor aufgeführten Funktionen benötigen mehrere Parameter bzw. Variablen. Einzelne Parameter/Variablen sind durch Semikola voneinander zu trennen. Im Unterprogramm Mathematische Funktionen I können Sie sich durch Aufrufe von Beispielen aus den entsprechenden Menüpunkten ein Bild darüber verschaffen, welche Syntaxregeln zu beachten sind und sich die erforderliche Parameterübergabe zur Verwendung einzelner Sonderfunktionen verdeutlichen. Es gilt auch die Art der zu übergebenden Werte der entsprechenden Funktionen zu beachten. Benötigt eine Funktion beispielsweise für einen Parameter n einen ganzzahligen Wert und es wird hierfür eine Gleitkommazahl eingegeben, so gibt das Programm lediglich die Meldung aus, dass der Funktionsterm nicht korrekt definiert wurde und keinen detaillierten, auf diesen Fehler aufmerksam machenden, Hinweis. Selbstverständlich kann für ganzzahlige Parameterwerte auch kein Parameter P übergeben werden, da dieser in der Regel Gleitkommawerte annimmt.
Beispiel:
Es gilt, eine Funktion des Typs EN(2;X) (Exponential-Integral) darstellen zu lassen. Wird der Term EN(2,7;X) bzw. EN(2.7;X) eingegeben, so gibt das Programm eine Fehlermeldung aus, da Parameter N ein ganzzahliger Wert sein muss. Wird der Term EN(3,X) definiert, so erfolgt ebenfalls eine Fehlermeldung, da der Separator Komma, anstelle des erforderlichen Semikolons verwendet wurde. Eine korrekte Definition würde z.B. lauten: EN(3;X).
Beschreibung spezieller Funktionen
Bessel-Funktionen und verwandte Funktionen
Airy-Funktionen
Airy-Funktionen sind linear unabhängige Lösungen der Differenzialgleichung
.Sie lauten:




Ai'(x): 1. Ableitung der Airy-Funktion Ai(x)
Bi'(x): 1. Ableitung der Airy-Funktion Bi(x)
Für die skalierten Airy-Funktionen Ais(x) und Bis(x) gilt:
Ai(x) wenn x £ 0
Ai(x)·exp(-2/3·x1.5) wenn x > 0
Bi(x) wenn x £ 0
Bi(x)·exp(-2/3·x1.5) wenn x > 0
Syntax:
Nicht skaliert:
Ai(x): AIRYAI(x)
Ai'(x): AIRYAIP(x)
Bi(x): AIRYBI(x)
Bi'(x): AIRYBIP(x)
Gi(x): AIRYGI(x)
Hi(x): AIRYHI(x)
Skaliert:
Ais(x): AIRYAIS(x)
Bis(x): AIRYBIS(x)
Definitionsbeispiele:
Nicht skaliert:
AIRYAI(X)
AIRYAIP(X)
AIRYBI(X)
AIRYBIP(X)
AIRYGI(X)
AIRYHI(X)
Skaliert:
AIRYAIS(X)
AIRYBIS(X)

Modifizierte Bessel-Funktion 1. Gattung, n-ter Ordnung Bessel In(n,x)

Syntax:
BESSELIN(n;x)
mit Ordnung n ³ 0
Definitionsbeispiele:
BESSELIN(2;X)
2*BESSELIN(1;X/2)-1
Bessel-Funktion 1. Gattung, n-ter Ordnung Jn(n,x)

Syntax:
BESSELJN(n;x)
mit Ordnung n ³ 0
Definitionsbeispiele:
BESSELJN(1;X)
3*X-BESSELJN(3;X)/4
Modifizierte Bessel-Funktion 2. Gattung, n-ter Ordnung kn(n,x)

Syntax:
BESSELKN(n;x)
mit Ordnung n ³ 0
Definitionsbeispiele:
BESSELKN(1;X)
3*X-BESSELKN(3;X)/4

Bessel-Funktion 2. Gattung, n-ter Ordnung Yn(n,x)

Syntax:
BESSELYN(n;x)
mit Ordnung n ³ 0
Definitionsbeispiele:
BESSELYN(1;X)
3*X+BESSELYN(3;X)/4
Kelvin-Funktionen




y: Digamma-Funktion
Syntax:
Ber(x): KELVINBER(x)
Bei(x): KELVINBEI(x)
Ker(x): KELVINKER(x)
Kei(x): KELVINKEI(x)
Definitionsbeispiele:
KELVINBER(X)
KELVINBEI(X)
KELVINKER(X)
KELVINKEI(X)



Modifizierte sphärische Bessel-Funktion 1. und 2. Gattung, n-ter Ordnung In(n,x)

Syntax:
SPHBESSELIN(n;x)
mit Ordnung n ³ 0
Definitionsbeispiele:
SPHBESSELIN(1;X)
4*SPHBESSELIN(3;X)/4

Sphärische Bessel-Funktion 1. Gattung, n-ter Ordnung Jn(n,x)

Syntax:
SPHBESSELJN(n;x)
mit Ordnung n ³ 0
Definitionsbeispiele:
SPHBESSELJN(1;X)
2*X-SPHBESSELJN(3;X)/4

Modifizierte sphärische Bessel-Funktion 3. Gattung, n-ter Ordnung Kn(n,x)
bei n = 0:

bei n > 0:

Syntax:
SPHBESSELKN(n;x)
mit Ordnung n ³ 0
Definitionsbeispiele:
SPHBESSELKN(1;X)
3*X-SPHBESSELKN(3;X)/4

Sphärische Bessel-Funktion 2. Gattung, n-ter Ordnung Yn(n,x)

Syntax:
SPHBESSELYN(n;x)
mit Ordnung n ³ 0
Definitionsbeispiele:
SPHBESSELYN(1;X)
3-SPHBESSELYN(3;X)/4

Struve-Funktionen
Struve-Funktionen sind Lösungen der nicht homogenen Bessel-Differenzialgleichung:

Struve-Funktion

Modifizierte Struve-Funktion

Syntax:
Struve-H-Funktion: STRUVEH(n;x)
Struve-L-Funktion: STRUVEL(n;x)
mit Ordnung n ³ 0
Definitionsbeispiele:
STRUVEH(3;X)
STRUVEL(2;X)

Elliptische Integrale - Elliptische Funktionen und Theta-Funktionen
Allgemeines Bulirsch'sches komplettes elliptisches Integral 1. Gattung

Syntax:
CEL(kc;p;a;b)
Definitionsbeispiele:
CEL(X;2;1;1)
2*CEL(X;2;1;1)-3
Bulirsch'sches komplettes elliptisches Integral 1. Gattung

Syntax:
CEL1(kc)
Definitionsbeispiele:
CEL1(X)
2*CEL1(X-2)
Bulirsch'sches komplettes elliptisches Integral 2. Gattung

Syntax:
CEL2(kc;a;b)
Definitionsbeispiele:
CEL2(X;3/4;1)
3*CEL2(X;2;2)/3

Bulirsch'sches unvollständiges elliptisches Integral 1. Gattung

Syntax:
EL1(x;kc)
Definitionsbeispiele:
EL1(X;3)
2-EL1(X+2;2)

Bulirsch'sches unvollständiges elliptisches Integral 2. Gattung

Syntax:
EL2(x;kc;a;b)
Definitionsbeispiele:
EL2(X;2;2;1)
2-3*EL2(X;2;3;3)

Bulirsch'sches unvollständiges elliptisches Integral 3. Gattung

Syntax:
EL3(x;kc;p)
Definitionsbeispiele:
EL3(X;2;2)
2*EL3(X;2;4)

Legendre'sches elliptisches Integral F

Syntax:
ELLINT1(f;k)
Definitionsbeispiele:
ELLINT1(X;2)
2*ELLINT1(X;3)-1

Legendre'sches elliptisches Integral E

Syntax:
ELLINT2(f;k)
Definitionsbeispiele:
ELLINT2(X;2)
2*ELLINT2(X;3)-1

Legendre'sches elliptisches Integral PI

Syntax:
ELLINT3(f;n;k)
Definitionsbeispiele:
ELLINT3(X;2;1)
2*ELLINT3(X/2;2;1)-2

Carlson's degeneriertes ellipt. Integral RC

Syntax:
ELLRC(x;y)
Definitionsbeispiele:
ELLRC(X;Y)
3+ELLRC(X;2)
Carlson's elliptisches Integral 1. Gattung RF

Syntax:
ELLRF(x;y;z)
Definitionsbeispiele:
ELLRF(X;Y;Z)
ELLRF(X;2;4)
Carlson's elliptisches Integral 2. Gattung RD

Syntax:
ELLRD(x;y;z)
Definitionsbeispiele:
ELLRD(X;Y;Z)
ELLRD(X;Y;4)
ELLRD(X;3;5)
Carlson's elliptisches Integral 3. Gattung RJ

Syntax:
ELLRJ(x;y;z;p)
Definitionsbeispiele:
ELLRJ(X;Y;Z;3)
ELLRJ(X;Y;1;3)
ELLRJ(X;2;4;3)
Unvollständiges elliptisches Integral 1. Gattung

Syntax:
ELLIPTICF(z;k)
Definitionsbeispiele:
ELLIPTICF(1/2;X)
-3*ELLIPTICF(1/2;X)

Unvollständiges elliptisches Integral 2. Gattung

Syntax:
ELLIPTICE(z;k)
Definitionsbeispiele:
ELLIPTICE(1/2;X)
3*ELLIPTICE(1/4;X-2)

Vollständiges elliptisches Integral 3. Gattung

Syntax:
ELLIPTICPIC(u;k)
Definitionsbeispiele:
ELLIPTICPIC(1/2;X)
-3*ELLIPTICPIC(1/5;X)

Komplementäres vollständiges elliptisches Integral 3. Gattung

Syntax:
ELLIPTICCPI(u;kc)
Definitionsbeispiele:
ELLIPTICCPI(1/2;X)
-4+ELLIPTICCPI(1/3;X-2)

Komplettes elliptisches Integral 1. Art

Syntax:
ELLIPTICK(k)
Definitionsbeispiele:
ELLIPTICK(X)
2*ELLIPTICK(X/4)-2

Komplementäres komplettes elliptisches Integral 1. Art

Syntax:
ELLIPTICCK(k)
Definitionsbeispiele:
ELLIPTICCK(X)
2*ELLIPTICCK(X/4)-2

Komplettes elliptisches Integral 2. Art

Syntax:
ELLIPTICEC(k)
Definitionsbeispiele:
ELLIPTICEC(X)
3-ELLIPTICEC(X/4)

Komplementäres komplettes elliptisches Integral 2. Art

Syntax:
ELLIPTICCE(k)
Definitionsbeispiele:
ELLIPTICCE(X)
2*ELLIPTICCE(X/4)-2

Heuman's Lambda-Funktion

mit k' = 1-k
K(k'): vollständiges elliptisches Integral 1. Gattung
F(j,k'): unvollständiges elliptisches Integral 1. Gattung
Z: Jacobi Zeta-Funktion
j: Jacobi-Amplitude
k: Parameter
Syntax:
HEUMANLAMBDA(j;k)
Definitionsbeispiele:
HEUMANLAMBDA(0,3;X)
2*HEUMANLAMBDA(1/6;X)

Jacobi-Amplitude am(x,k)
Syntax:
JACOBIAM(x;k)
Definitionsbeispiele:
JACOBIAM(X;2)
2*JACOBIAM(X/2;2)+3

Jacobische elliptische Funktion cosinus amplitudinis cn(x,mc)
Jacobische elliptische Funktion delta amplitudinis dn(x,mc)
Jacobische elliptische Funktion sinus amplitudinis sn(x,mc)
Syntax:
JACOBICN(x;mc)
JACOBIDN(x;mc)
JACOBISN(x;mc)
Definitionsbeispiele:
JACOBICN(X;0,2)
JACOBIDN(X;0,5)
JACOBISN(X;1,2)



Inverse Jacobische elliptische Funktion arcuscosinus amplitudinis arccn(x,mc)
Inverse Jacobische elliptische Funktion arcusdelta amplitudinis arcdn(x,mc)
Inverse Jacobische elliptische Funktion arcussinus amplitudinis arcsn(x,mc)
Syntax:
JACOBIARCCN(x;mc)
JACOBIARCDN(x;mc)
JACOBIARCSN(x;mc)
Definitionsbeispiele:
JACOBIARCCN(X;0,5)
JACOBIARCSN(X;0,2)
JACOBIARCDN(X;1,2)



Jacobische Theta-Funktionen 1-4
n = 1:

n = 2:

n = 3:

n = 4:

Syntax:
JACOBITHETA(n;x;q)
n = 1...4
Definitionsbeispiele:
JACOBITHETA(2;X;1/2)
4*JACOBITHETA(3;X;2)-1

Jacobische Zeta-Funktion

Syntax:
JACOBIZETA(j;k)
Definitionsbeispiele:
JACOBIZETA(2;X)
3-JACOBIZETA(3;X)

Cosinus lemnicatus

mit

Syntax:
COSLEMN(r)
Definitionsbeispiele:
COSLEMN(X)
3*COSLEMN(2*X+1)

Sinus lemnicatus

mit

Syntax:
SINLEMN(r)
Definitionsbeispiele:
SINLEMN(X)
2+SINLEMN(X/2)

Error-Funktionen und verwandte Funktionen
Dawson-Integral

Syntax:
DAWSON(x)
Definitionsbeispiele:
DAWSON(X)
4*DAWSON(2*X/5)

Verallgemeinertes Dawson-Integral

Syntax:
DAWSON2(p;x)
Definitionsbeispiele:
DAWSON2(3;X)
3*DAWSON2(4;X)-1

Error-Funktion

Syntax:
ERF(x)
Definitionsbeispiele:
ERF(X)
3*ERF(2*X/5)-1

Komplementäre Error-Funktion

Syntax:
ERFC(x)
Definitionsbeispiele:
ERFC(X)
3*ERFC(2*X/5)-1

Inverse der Error-Funktion
Die Inverse der Error-Funktion ErfInv ist definiert mit:

Es gilt:

Für die Error-Funktion Erf gilt:

Syntax:
ERFINV(x)
Definitionsbeispiele:
ERFINV(X)
ERFINV(2+2*X)-1

Inverse der komplementären Error-Funktion
Die Inverse der komplementären Error-Funktion ErfcInv ist definiert mit:

Es gilt:

Für die komplementäre Error-Funktion Erfc gilt:

Syntax:
ERFCINV(x)
Definitionsbeispiele:
ERFCINV(X)
ERFCINV(2+2*X)-1

Imaginäre Error-Funktion

Syntax:
ERFI(x)
Definitionsbeispiele:
ERFI(X)
2+ERFI(2*X/3)-1

Fresnel-Cosinus

Syntax:
FRESNELCOS(x)
Definitionsbeispiele:
FRESNELCOS(X)
1-FRESNELCOS(X/2)

Fresnel-Sinus

Syntax:
FRESNELSIN(x)
Definitionsbeispiele:
FRESNELSIN(X)
3*FRESNELSIN(X/3-4)

Goodwin-Staton-Integral

Syntax:
GSI(x)
Definitionsbeispiele:
GSI(X)
GSI(2+X)/3

Exponential-Integrale und verwandte Integrale
Cosinus-Hyperbolicus-Integral Chi

mit

Syntax:
CHI(x)
Definitionsbeispiele:
CHI(X)
CHI(X+3)+2
Cosinus-Integral Ci

Syntax:
CI(x)
Definitionsbeispiele:
CI(X)
CI(X/2+3)-2

Vollständiges Cosinus-Integral Cin

Syntax:
CIN(x)
Definitionsbeispiele:
CIN(X)
1-CIN(X/2-2)

Vollständiges Cosinus-Hyperbolicus-Integral Cinh

Syntax:
CINH(x)
Definitionsbeispiele:
CINH(X)
4*CINH(3*X+1)

Exponential-Integral Ei

Syntax:
EI(x)
Definitionsbeispiele:
EI(X)
2*EI(X+1)-X

Vollständiges Exponential-Integral Ein

Syntax:
EIN(x)
Definitionsbeispiele:
EIN(X)
EIN(X-1)/5

Inverse des Exponential-Integrals Ei
Das inverse Exponential-Integral EInv ist definiert mit:

Es gilt:

Für das Exponential-Integral Ei gilt:

Syntax:
EINV(x)
Definitionsbeispiele:
EINV(X)
3+EINV(2*X-3)

Exponential-Integral En

Syntax:
EN(n;x)
mit n ³ 0
Definitionsbeispiele:
EN(2;X)
3*EN(2;X/4)
Logarithmisches Integral Li

Syntax:
LI(x)
Definitionsbeispiele:
LI(X)
LI(2*X)/2

Inverse des Logarithmischen Integrals Li
Das inverse logarithmische Integral LiInv ist definiert mit:

Es gilt:

Für das logarithmische Integral Li gilt:

Syntax:
LIINV(x)
Definitionsbeispiele:
LIINV(X)
LIINV(X/2-4)-1

Sinus-Hyperbolicus-Integral Shi

Syntax:
SHI(X)
Definitionsbeispiele:
SHI(X)
SHI(X-1)/3

Sinus-Integral Si

Syntax:
SI(x)
Definitionsbeispiele:
SI(X)
SI(X+1)/2

Gamma-Funktion und verwandte Funktionen
Bateman-Funktion

mit:

für x ¹ 0,-1,-2,-3....
Syntax:
BATEMANG(x)
Definitionsbeispiele:
BATEMANG(X)
2-BATEMANG(X+2)

Beta-Funktion

Syntax:
BETA(x;y)
Definitionsbeispiele:
BETA(X;3)
2+BETA(X;4)

Gamma-Funktion

Syntax:
GAMMA(x)
Definitionsbeispiele:
GAMMA(X)
3*GAMMA(X/2-2)

Verhältnis zweier Gamma-Funktionen (Gammaratio)

Syntax:
GAMMARATIO(x;y)
Definitionsbeispiele:
GAMMARATIO(X;2)
3*GAMMARATIO(1/2;X-2)

Temmes regulierte Gamma-Funktion (Gammastar)

Syntax:
GAMMASTAR(x)
Definitionsbeispiele:
GAMMASTAR(X)
2*GAMMASTAR(-X/3+1)

Normalisierte unvollständige Beta-Funktion

mit


Syntax:
IBETA(a;b;x)
mit a > 0 und b > 0
Definitionsbeispiele:
IBETA(9;1;X)
4*IBETA(5;4/6;X)

Inverse der normalisierten unvollständigen Beta-Funktion
Syntax:
IBETAINV(a;b;y)
mit a > 0 und b > 0
Definitionsbeispiele:
IBETAINV(4;3;X)
IBETAINV(2;4/6;X-4)

igamma-Funktion
Nichtnormalisierte unvollständige Gammafunktion der oberen Grenze

Syntax:
IGAMMA(s;x)
Definitionsbeispiele:
IGAMMA(2;X)
2*IGAMMA(3;X)-3

igammal-Funktion
Nichtnormalisierte unvollständige Gammafunktion der unteren Grenze

Syntax:
IGAMMAL(s;x)
Definitionsbeispiele:
IGAMMAL(2;X)
3-IGAMMAL(4;X)+4

igammap-Funktion
Normalisierte unvollständige Gammafunktion der oberen Grenze

Syntax:
IGAMMAP(s;x)
mit s > 0 und x > 0
Definitionsbeispiele:
IGAMMAP(2;X)
4*IGAMMAP(3;X)-1

igammaq-Funktion
Normalisierte unvollständige Gammafunktion der unteren Grenze

Syntax:
IGAMMAQ(s;x)
mit s > 0 und x > 0
Definitionsbeispiele:
IGAMMAQ(2;X)
4*IGAMMAQ(3;X)-1

Inverse der unvollständigen Gamma-Funktion
Syntax:
IGAMMAPINV(s;p)
Definitionsbeispiele:
IGAMMAPINV(2;X)
2*IGAMMAPINV(3;X-2)

Inverse der komplementären unvollständigen Gamma-Funktion
Syntax:
IGAMMAQINV(s;p)
Definitionsbeispiele:
IGAMMAQINV(3;X)
-IGAMMAQINV(4;X+2)

Inverse der Gamma-Funktion
Syntax:
INVGAMMA(y)
Definitionsbeispiele:
INVGAMMA(X)
2*INVGAMMA(X-1)

Logarithmus der Beta-Funktion

mit

für x,y ¹ 0,-1,-2,-3....
Syntax:
LNBETA(x;y)
Definitionsbeispiele:
LNBETA(2;X)
-3*LNBETA(3;X)+2

Natürlicher Logarithmus der Gamma-Funktion

für x ¹ 0,-1,-2,-3....
Syntax:
LNGAMMA(x)
Definitionsbeispiele:
LNGAMMA(X)
LNGAMMA(X^2/3)-X

Natürlicher Logarithmus der Gamma-Funktion (Sonderform)

für x+1 ¹ 0,-1,-2,-3....
Syntax:
LNGAMMAP(x)
Definitionsbeispiele:
LNGAMMAP(X)
2*LNGAMMAP(1/3-X)+2

Pentagamma-Funktion

für x ¹ 0,-1,-2,-3....
Syntax:
PENTAGAMMA(x)
Definitionsbeispiele:
PENTAGAMMA(X)
2*PENTAGAMMA(-X/3+2)

Pochhammer-Funktion

Syntax:
POCHHAMMER(a;x)
Definitionsbeispiele:
POCHHAMMER(2;X)
2*POCHHAMMER(3;X)-1

Polygamma-Funktion

für x ¹ 0,-1,-2,-3....
Syntax:
POLYGAMMA(n;x)
mit n > 0
Definitionsbeispiele:
POLYGAMMA(2;X)
-2*POLYGAMMA(3;X/2)-1

Psi-(Digamma)-Funktion

für x ¹ 0,-1,-2,-3....
Syntax:
PSI(x)
Definitionsbeispiele:
PSI(X)
2*PSI(-X+2)

Inverse der Psi-(Digamma)-Funktion
Inverse der PSI-(Digamma)-Funktion: PSI(x) = y
Syntax:
PSIINV(y)
Definitionsbeispiele:
PSIINV(X)
2*PSIINV(-X+2)

Reziproke Gamma-Funktion

Syntax:
RGAMMA(x)
Definitionsbeispiele:
RGAMMA(X)
3*RGAMMA(X/4-1)+2

Tetragamma-Funktion

für x ¹ 0,-1,-2,-3....
Syntax:
TETRAGAMMA(x)
Definitionsbeispiele:
TETRAGAMMA(X)
2*TETRAGAMMA(2-X)

Trigamma-Funktion

für x ¹ 0,-1,-2,-3....
Syntax:
TRIGAMMA(x)
Definitionsbeispiele:
TRIGAMMA(X)
2*TRIGAMMA(-X+2)

Zeta-Funktionen und polylogarithmische Funktionen
Clausen-Funktion

Syntax:
CL2(x)
Definitionsbeispiele:
CL2(X)
CL2(X/2+2)-1

Dilogarithmische Funktion

Syntax:
DILOG(x)
Definitionsbeispiele:
DILOG(X)
-DILOG(-X+1)

DirichletBeta

Syntax:
DIRICHLETBETA(s)
Definitionsbeispiele:
DIRICHLETBETA(X)
2-DIRICHLETBETA(X+2)

DirichletLambda

mit

Syntax:
DIRICHLETLAMBDA(s)
Definitionsbeispiele:
DIRICHLETLAMBDA(X)
3*DIRICHLETLAMBDA(X-4)

Dirichletsche Eta-Funktion

Syntax:
ETA(s)
Definitionsbeispiele:
ETA(X)
ETA(X-1)/4

Komplette Fermi-Dirac Integrale

mit

Mit Anwendung für:
F(-1/2)
F(1/2)
F(3/2)
F(5/2)
Syntax:
FERMIDIRACM05(x)
FERMIDIRACP05(x)
FERMIDIRACP15(x)
FERMIDIRACP25(x)
Definitionsbeispiele:
FERMIDIRACM05(X)
2*FERMIDIRACM05(3*X)
FERMIDIRACP05(X)
2*FERMIDIRACP05(3*X)
FERMIDIRACP15(X)
2*FERMIDIRACP15(3*X)
FERMIDIRACP25(X)
2*FERMIDIRACP25(3*X)




Harmonic

mit

und

Syntax:
HARMONIC(x)
Definitionsbeispiele:
HARMONIC(X)
2-HARMONIC(X+1)

HarmonicH

mit

und

Syntax:
HARMONICH(x;r)
Definitionsbeispiele:
HARMONICH(X;2)
2*HARMONICH(X;3)+2

Legendresche Chi-Funktion

Syntax:
LEGENDRECHI(z;x)
Definitionsbeispiele:
LEGENDRECHI(2;X)
2*LEGENDRECHI(3;X)

Lerchsche transzendente Phi-Funktion

Syntax:
LERCHPHI(l;s;a)
Definitionsbeispiele:
LERCHPHI(X;1;2)
3*LERCHPHI(X;1;2)-1

Lobachevsky-Funktion L(x)

Syntax:
LOBACHEVSKYC(x)
Definitionsbeispiele:
LOBACHEVSKYC(X)
2*LOBACHEVSKYC(X-2)

Lobachevsky-Funktion Lambda(x)

Syntax:
LOBACHEVSKYS(x)
Definitionsbeispiele:
LOBACHEVSKYS(X)
2+3*LOBACHEVSKYS(X)

Ganzzahliger Polylogarithmus

Syntax:
POLYLOG(n;x)
Definitionsbeispiele:
POLYLOG(2;X)
2*POLYLOG(5;X)-3

Reeller Polylogarithmus

Syntax:
POLYLOGR(s;x)
Definitionsbeispiele:
POLYLOGR(3;X)
POLYLOGR(4;X/2)+2

Primzeta-Funktion

Syntax:
PRIMEZETA(s)
Definitionsbeispiele:
PRIMEZETA(X)
2-PRIMEZETA(X)

Inverses Tangens-Integral

Syntax:
TI2(x)
Definitionsbeispiele:
TI2(X)
3*TI2(X-1)

Riemannsche Zeta-Funktion

Syntax:
ZETA(s)
Definitionsbeispiele:
ZETA(X)
2+ZETA(X-1)

Hurwitzsche Zeta-Funktion

Syntax:
ZETAH(s;a)
Definitionsbeispiele:
ZETAH(2;X)
-ZETAH(3;3*X)/2

Orthogonale Polynome, Legendre-Polynome und verwandte Funktionen
Chebyshev-Polynome 1. Art
Chebyshev-Lösungen der Differenzialgleichung:

Syntax:
CHEBYSHEVT(n;x)
mit n Î {...-3,-2,-1,0,1,3...}
Definitionsbeispiele:
CHEBYSHEVT(4;X)
3+2*CHEBYSHEVT(3;X/6)
Chebyshev-Polynome 2. Art
Chebyshev-Polynome sind Lösungen der Differenzialgleichung:

Syntax:
CHEBYSHEVU(n;x)
mit n Î {...-3,-2,-1,0,1,3...}
Definitionsbeispiele:
CHEBYSHEVU(3;X)
-2*CHEBYSHEVU(3;X/4)+2
Chebyshev-Polynome 3. Art
Syntax:
CHEBYSHEVV(n;x)
mit n Î {...-3,-2,-1,0,1,3...}
Definitionsbeispiele:
CHEBYSHEVV(3;X)
-2*CHEBYSHEVV(3;X/4)+2
Syntax:
CHEBYSHEVW(n;x)
mit n Î {...-3,-2,-1,0,1,3...}
Definitionsbeispiele:
CHEBYSHEVW(3;X)
-2*CHEBYSHEVW(3;X/4)+2

Gegenbauer-Polynome
Lösungen der Differentialgleichung:

Syntax:
GEGENBAUERC(n;a;x)
mit n Î {0,1,2,3...}
Definitionsbeispiele:
GEGENBAUERC(3;2;X)
-3*GEGENBAUERC(3;5;X/2)

Hermitesche Polynome
Hermitesche Polynome sind Lösungen der Hermiteschen Differentialgleichung zweiter Ordnung:

Hermitesche Polynome:

bzw.

Syntax:
HERMITEH(n;x)
mit n Î {0,1,2,3...}
Definitionsbeispiele:
HERMITEH(2;X)
2+3*HERMITEH(3;X/2)/2

Hermitesche Polynome (Physiker-Konvention)
Hermitesche Polynome sind Lösungen der Hermiteschen Differentialgleichung zweiter Ordnung:

Hermitesche Polynome (Physiker-Konvention):

Syntax:
HERMITEHE(n;x)
mit n Î {0,1,2,3...}
Definitionsbeispiele:
HERMITEHE(3;X)
-HERMITEHE(3;X)+1

Laguerre-Polynome
Laguerre-Polynome sind Lösungen der Differenzialgleichung:

Laguerre-Polynome

Zugeordnete Laguerre-Polynome

Syntax:
Laguerre-Polynome: LAGUERRE(n;a;x)
Zugeordnete Laguerre-Polynome: LAGUERREASS(n;m;x)
mit n Î {0,1,2,3...}
Definitionsbeispiele:
LAGUERRE(3;0;X)
-2*LAGUERREASS(2;2;X)


Legendre-Polynome
Legendre-Polynome 1. Art sind Lösungen der Differenzialgleichung:

Legendre-Funktionen 2. Art sind Lösungen der Differenzialgleichung:

Syntax:
Legendre-Polynome 1. Art: LEGENDREP(n;x)
Zugeordnete Legendre-Polynome: LEGENDREPLM(k;m;x)
Legendre-Funktionen 2. Art: LEGENDREQ(n;x)
Zugeordnete Legendre-Funktionen: LEGENDREQLM(k;m;x)
mit n,m Î {0,1,2,3...}
Definitionsbeispiele:
LEGENDREP(3;X)
LEGENDREPLM(8;2;X)
LEGENDREQ(2;X)
LEGENDREQLM(4;2;X)




Zernike Polynome
Es gilt wenn n-m gerade:

ansonsten gilt:

r ³ 0, n ³ m ³ 0
Syntax:
ZERNIKER(n;m;r)
mit n Î {0,1,2,3...}
Definitionsbeispiele:
ZERNIKER(3;1;X)
-ZERNIKER(6;2;X/10)+2

Zylinderfunktionen und verwandte Funktionen
CylinderD, CylinderU, CylinderV
Lösungen der Differentialgleichung

Syntax:
CYLINDERD(v;x)
CYLINDERU(a;x)
CYLINDERV(a;x)
Definitionsbeispiele:
CYLINDERD(2;X)
CYLINDERU(3;X)
CYLINDERV(4;X)



Whittakersche M-Funktion, Whittakersche W-Funktion
Die Whittakersche M-Funktion und Whittakersche W-Funktion sind Lösungen der Whittakerschen Gleichung:

Whittakersche M-Funktion:

Whittakersche W-Funktion:

M,U: Kummersche konfluente hypergeometrische Funktionen
Syntax:
WHITTAKERM(k;m;z)
WHITTAKERW(k;m;z)
Definitionsbeispiele:
WHITTAKERM(2;0,5;X)
WHITTAKERW(2;0,5;X)

Verteilungen
Beta-Verteilung
Dichte:
f(a,b,x) = xa-1(1-x)b-1/B(a,b)
Verteilung:
F(a,b,x) = Ix(a,b)
mit



a,b: Parameter (a > 0, b > 0)
B(a,b): Beta-Funktion
Ix(a,b): regularisierte unvollständige Betafunktion
x: Zufallsgröße
Syntax:
Dichte: BETAPDF(a;b;x)
Verteilung: BETACDF(a;b;x)
Definitionsbeispiele:
BETAPDF(5;1;X)
BETACDF(2;5;X)

Binomial-Verteilung
Dichte:

Verteilung:

mit



n > k
k ³ 0, n ³ 0
0 £ x £ 1
n: Anzahl Versuche
k: Anzahl Ereignisse
x: Wahrscheinlichkeit
Syntax:
Dichte: BINOMIALPMF(n;k;x)
Verteilung: BINOMIALCDF(n;k;x)
Definitionsbeispiele:
BINOMIALPMF(8;4;X)
BINOMIALCDF(14;3;X)

Cauchy-Verteilung
Dichte:

Verteilung:

x0,g: Parameter (g > 0)
x: Zufallsgröße
Syntax:
Dichte: CAUCHYPDF(x0;g;x)
Verteilung: CAUCHYCDF(x0;g;x)
Definitionsbeispiele:
CAUCHYPDF(0;1;X)
CAUCHYCDF(-2;0,5;X)


Chi²-Verteilung
Dichte:

Verteilung:

n: Freiheitsgrad (n ³ 0)
x: Zufallsgröße
Syntax:
Dichte: CHI2PDF(n;x)
Verteilung: CHI2CDF(n;x)
Definitionsbeispiele:
CHI2PDF(1;X)
CHI2CDF(3;X)


Extreme Value Type I–Verteilung
Dichte:

Verteilung:

m,b: Parameter (b > 0)
x: Zufallsgröße
Syntax:
Dichte: EVDTPDF(m;b;x)
Verteilung: EVDTCDF(m;b;x)
Definitionsbeispiele:
EVDTPDF(-0,5;1;X)
EVDTCDF(2;3;X)


Exponential-Verteilung
Dichte:

Verteilung:

λ: Parameter (λ > 0)
x: Zufallsgröße
Syntax:
Dichte: EXPPDF(a;λ;x)
Verteilung: EXPCDF(a;λ;x)
Definitionsbeispiele:
EXPPDF(0;3;X)
EXPCDF(0;2;X)


F-Verteilung
Dichte:

Verteilung:


mit

m,n: Freiheitsgrade (m > 0, n > 0)
x: Zufallsgröße
Syntax:
Dichte: FPDF(m;n;x)
Verteilung: FCDF(m;n;x)
Definitionsbeispiele:
FPDF(100;10;X)
FCDF(5;5;X)


Gamma-Verteilung
Dichte:

Verteilung:

k,f: Parameter (k > 0, f > 0)
x: Zufallsgröße
Syntax:
Dichte: GAMMAPDF(k;f;x)
Verteilung: GAMMACDF(k;f;x)
Definitionsbeispiele:
GAMMAPDF(2;2;X)
GAMMACDF(1;2;X)


Inverse Gamma-Verteilung
Dichte:

Verteilung:

mit

a,b: Parameter (a > 0, b > 0)
x: Zufallsgröße
Syntax:
Dichte: INVGAMMAPDF(a;b;x)
Verteilung: INVGAMMACDF(a;b;x)
Definitionsbeispiele:
INVGAMMAPDF(0,5;1;X)
INVGAMMACDF(0,3;2;X)


Laplace-Verteilung
Dichte:

Verteilung:

m,b: Parameter (b > 0)
x: Zufallsgröße
Syntax:
Dichte: LAPLACEPDF(m;b;x)
Verteilung: LAPLACECDF(m;b;x)
Definitionsbeispiele:
LAPLACEPDF(-5;4;X)
LAPLACECDF(2;1;X)


Levy-Verteilung
Dichte:

Verteilung:

mit

m,g: Parameter (m > 0)
x: Zufallsgröße
Syntax:
Dichte: LEVYPDF(m,g,x)
Verteilung: LEVYCDF(m,g,x)
Definitionsbeispiele:
LEVYPDF(-0,5;1;X)
LEVYCDF(2;2;X)


Logistische-Verteilung
Dichte:

Verteilung:

m,s: Parameter (s > 0)
x: Zufallsgröße
Syntax:
Dichte: LOGISTICPDF(m;s;x)
Verteilung: LOGISTICCDF(m;s;x)
Definitionsbeispiele:
LOGISTICPDF(2;3;X)
LOGISTICCDF(2;0,4;X)


Logarithmische Normalverteilung
Dichte:

Verteilung:

mit

m,s: Parameter (s > 0)
x: Zufallsgröße
Syntax:
Dichte: LOGNORMALPDF(m;s;x)
Verteilung: LOGNORMALCDF(m;s;x)
Definitionsbeispiele:
LOGNORMALPDF(-2;5;X)
LOGNORMALCDF(2;3;X)


Kumaraswamy-Verteilung
Dichte:

Verteilung:

a,b: Parameter (a > 0, b > 0)
x: Zufallsgröße x Є [0..1]
Syntax:
Dichte: KUMURASWAMYPDF(a,b,x)
Verteilung: KUMURASWAMYCDF(a,b,x)
Definitionsbeispiele:
KUMURASWAMYPDF(2;5;X)
KUMURASWAMYCDF(1;3;X)


Maxwell-Verteilung
Dichte:

Verteilung:

mit

a: Parameter (a > 0)
x: Zufallsgröße
Syntax:
Dichte: MAXWELLPDF(a;x)
Verteilung: MAXWELLCDF(a;x)
Definitionsbeispiele:
MAXWELLPDF(1;X)
MAXWELLCDF(2;X)


Moyal-Verteilung
Dichte:

Verteilung:

mit

m,s: Parameter (s > 0)
x: Zufallsgröße
Syntax:
Dichte: MOYALPDF(m,s,x)
Verteilung: MOYALCDF(m,s,x)
Definitionsbeispiele:
MOYALPDF(2;2;X)
MOYALCDF(-0,5;1;X)


Negative Binomialverteilung
Dichte:

Verteilung:


mit


k,r: Parameter (k Î {0,1,3...}, r > 0)
x: Zufallsgröße
Syntax:
Dichte: NEGBINOMPMF(k;r;x)
Verteilung: NEGBINOMCDF(k;r;x)
Definitionsbeispiele:
NEGBINOMPMF(2;0,7;X)
NEGBINOMCDF(2;0,1;X)


Standard-Normalverteilung
Dichte:

Verteilung:

mit

x: Zufallsgröße
Syntax:
Dichte: NORMSTDPDF(x)
Verteilung: NORMSTDCDF(x)
Definitionsbeispiele:
NORMSTDPDF(X)
NORMSTDCDF(X)


Gaußsche Normalverteilung
Dichte:

Verteilung:

mit

m,s²: Parameter (s² > 0)
x: Zufallsgröße
Syntax:
Dichte: NORMALPDF(m;s²;x)
Verteilung: NORMALCDF(m;s²;x)
Definitionsbeispiele:
NORMALPDF(-2;5;X)
NORMALCDF(0;1;X)


Pareto-Verteilung
Dichte:

Verteilung:

k,xm: Parameter (k > 0, xm > 0)
x: Zufallsgröße
Syntax:
Dichte: PARETOPDF(k;xm;x)
Verteilung: PARETOCDF(k;xm;x)
Definitionsbeispiele:
PARETOPDF(1;2;X)
PARETOCDF(1,1;0,5;X)


Poisson-Verteilung
Dichte:

Verteilung:

l: Parameter (l > 0)
k: Zufallsgröße (ganzzahlig)
Syntax:
Dichte: POISSONPMF(l;k)
Verteilung: POISSONCDF(l;k)
Definitionsbeispiele:
POISSONPMF(2;X)
POISSONCDF(1;X)


Rayleigh-Verteilung
Dichte:

Verteilung:

s: Parameter
x: Zufallsgröße (x > 0)
Syntax:
Dichte: RAYLEIGHPDF(s,x)
Verteilung: RAYLEIGHCDF(s,x)
Definitionsbeispiele:
RAYLEIGHPDF(1;X)
RAYLEIGHCDF(2;X)


Dreiecksverteilung
Dichte:

Verteilung:

a,b,c: Parameter (a < b, a < c < b)
x: Zufallsgröße
Syntax:
Dichte: TRIANGULARPDF(a;b;c;x)
Verteilung: TRIANGULARCDF(a;b;c;x)
Definitionsbeispiele:
TRIANGULARPDF(0;3;1;X)
TRIANGULARCDF(-1;1;0;X)


Student-t-Verteilung
Dichte:

Verteilung:

mit


n: Freiheitsgrade (n > 0)
x: Zufallsgröße
Syntax:
Dichte: STUDENTPDF(n;x)
Verteilung: STUDENTCDF(n;x)
Definitionsbeispiele:
STUDENTPDF(5;X)
STUDENTCDF(2;X)


Uniform-Verteilung
Dichte:

Verteilung:

a,b: Parameter
x: Zufallsgröße
Syntax:
Dichte: UNIFORMPDF(a;b;x)
Verteilung: UNIFORMCDF(a;b;x)
Definitionsbeispiele:
UNIFORMPDF(-5;5;X)
UNIFORMCDF(-4;3;X)


Wald-Verteilung
Dichte:

Verteilung:

m,l: Parameter (m > 0, l > 0)
x: Zufallsgröße (x > 0)
Φ : Gauß'sche Standard-Normalverteilung (CDF)
Syntax:
Dichte: WALDPDF(m,l,x)
Verteilung: WALDCDF(m,l,x)
Definitionsbeispiele:
WALDPDF(0,5;1;X)
WALDCDF(0,1;2;X)


Weibull-Verteilung
Dichte:

Verteilung:

l,k: Parameter (l > 0, k > 0)
x: Zufallsgröße
Syntax:
Dichte: WEIBULLPDF(l;k;x)
Verteilung: WEIBULLCDF(l;k;x)
Definitionsbeispiele:
WEIBULLPDF(1/2;1;X)
WEIBULLCDF(4;1;X)


Sonstige spezielle Funktionen
Bernoulli-Polynom

bk: Bernoulli-Zahlen
Syntax:
BERNPOLY(n;x)
mit n Î {0,1,2,3...}
Definitionsbeispiele:
BERNPOLY(3;X)
-BERNPOLY(4;X)+2

Gudermann-Funktion

Syntax:
GD(x)
Definitionsbeispiele:
GD(X)
1+GD(3*X)
Inverse Gudermann-Funktion

Syntax:
ARCGD(x)
Definitionsbeispiele:
ARCGD(X)
2*ARCGD(-X/3)+3

Debye-Funktion

Syntax:
DEBYE(n;x)
mit n Î {1,2,3...}
Definitionsbeispiele:
4*DEBYE(1;X)
-3*DEBYE(14;X/2)+2

Dedekindsche Eta-Funktion

Für jede komplexe Zahl τ mit Im(τ) > 0
Syntax:
DETAI(l)
Definitionsbeispiele:
4*DETAI(X)-1
DETAI(3*X)

Fibonacci-Polynom

Syntax:
FIBPOLY(n;x)
mit n >= 1
Definitionsbeispiele:
FIBPOLY(4;X)
2*FIBPOLY(4;X)-3

Allgemeine Fibanocci-Funktion

Syntax:
FIBFUN(r;x)
Definitionsbeispiele:
FIBFUN(3,6;X)
-FIBFUN(2,8;X+1)+2

Lambertsche W-Funktion

Syntax:
Für oberen Zweig W0(x) ³ -1 und x < 0: LAMBERTW(x)
Für unteren Zweig W-1(x) £ -1 und x < 0: LAMBERTW1(x)
Definitionsbeispiele:
LAMBERTW(X)
2*LAMBERTW(X/2-1)

Lucas-Polynom

Syntax:
LUCPOLY(n;x)
Definitionsbeispiele:
LUCPOLY(5;X-3)
2*LUCPOLY(3;X)
Riemannsche Primzahl-Anzahl-Funktion

Syntax:
RIEMANN(x)
Definitionsbeispiele:
4*RIEMANN(X)-1
RIEMANN(3*X)
Wrightsche Omega-Funktion

Anwendbar z.B. zur Auffindung der Lösung für w bei der Gleichung w + ln(w) = x
Syntax:
OMEGA(z)
Definitionsbeispiele:
OMEGA(X)
2*OMEGA(X)
Hilfreiche Informationen zu diesem Fachthema sind unter folgenden Adressen zu finden.
Wikipedia - Integralkosinus
Wikipedia - Integralexponentialfunktion
Wikipedia - Exponential-Integral
Wikipedia - Integrallogarithmus
Wikipedia - Sinc-Funktion
Wikipedia - Fehlerfunktion
Wikipedia - Fresnel-Integral
Wikipedia - Gammafunktion
Wikipedia - Digammafunktion
Mathematische Funktionen I - Mathematische Funktionen II - Funktionen in Parameterform - Funktionen in Polarform - Segmentweise definierte Funktionen - Kurvenscharen - Funktionsparameteranalyse - Funktionswertetabellen - Tangente - Normale - Tangente - Sekante - Tangente und Normale von externem Punkt - Kurvendiskussion - Kurvendiskussion - Interaktiv - Obersummen und Untersummen - Obersummen und Untersummen - Interaktiv - Integrationsmethoden - Integralrechnung - Integralrechnung - Interaktiv - Gleichungen - Fourier-Reihen - Taylorreihen und Potenzreihen - Implizite Funktionen - Rotation von Kurven in kartesischer Form um die X-Achse (3D) - Rotation von Kurven in Parameterform um die X-Achse (3D) - Rotation von Kurven in kartesischer Form um die Y-Achse (3D) - Rotation von Kurven in Parameterform um die Y-Achse (3D) - Flächen mit Funktion in expliziter Form (3D) - Analyse implizit definierter Funktionen (3D) - Flächen mit Funktionen in Parameterform (3D) - Funktionen in sphärischen Kugelkoordinaten (3D) - Funktionen in sphärischen Zylinderkoordinaten (3D) - Raumkurven in Parameterform (3D)

MathProf 5.0 - Unterprogramm Kurvendiskussion

MathProf 5.0 - Unterprogramm Kurven von Funktionen in Parameterform

PhysProf 1.1 - Unterprogramm Adiabatische Zustandsänderung

SimPlot 1.0 - Grafik- und Animationsprogramm für unterschiedlichste Anwendungszwecke
Nachfolgend finden Sie ein Video zu einer mit SimPlot 1.0 erstellten Animationsgrafik, welches Sie durch die Ausführung eines Klicks auf die nachfolgend gezeigte Grafik abspielen lassen können.
Nachfolgend finden Sie ein Video zu einer mit SimPlot 1.0 erstellten Animationsgrafik, welches Sie durch die Ausführung eines Klicks auf die nachfolgend gezeigte Grafik abspielen lassen können.
Nachfolgend finden Sie ein Video zu einer mit SimPlot 1.0 erstellten Animationsgrafik, welches Sie durch die Ausführung eines Klicks auf die nachfolgend gezeigte Grafik abspielen lassen können.














