PhysProf - Überlagerung von Schwingungen - Superpositionierung
Fachthema: Schwingungs-
überlagerung - Superpositionsprinzip
PhysProf - Elektrotechnik - Ein Programm zur Visualisierung physikalischer Sachverhalte mittels Simulationen und 2D-Animationen und zur Analyse wissenschaftlicher Zusammenhänge für die Schule, das Abitur, das Studium sowie für alle die sich für Physik interessieren.
Online-Hilfe für das Modul
zur grafischen Analyse der Sachverhalte, die bei Überlagerungen von Schwingungen auftreten.
Dieses Unterprogramm ermöglicht die Durchführung der Steuerung entsprechender Abläufe zur Echtzeit und bietet die Möglichkeit, die Einflüsse relevanter Größen interaktiv zu untersuchen.
Es unterstützt dabei ein tiefergehendes Verständnis zu diesem Themengebiet zu erlangen und kann zum Lösen vieler diesbezüglich relevanter Aufgaben eingesetzt werden.
Weitere relevante Seiten zu diesem Programm
Themen und Stichworte zu diesem Modul:Überlagerung von Schwingungen - Superpositionsprinzip - Schwingungen überlagern - Schwingungsüberlagerung - Frequenz - Amplitude - Resultierende Schwingung - Harmonische Schwingung - Phasendifferenz - Kreisfrequenz - Schwingungsfrequenz - Schwebung - Schwebungsfrequenz - Schwebungsdauer - Schwingungsamplitude - Schwingungsrichtung - Richtung - Nullphasenwinkel - Zeit - Schwingungen - Superposition von Schwingungen - Harmonische Schwingung - Schwingung - Überlagerung - Disharmonische Schwingung - Disharmonische Schwingungen - Unreine Schwebung - Superposition - Periode - Physik - Elektrotechnik - E-Technik - Parameter - Periodendauer - Berechnen - Physik - Physikalisch - Definition - Begriff - Begriffe - Einführung - Was - Wie - Weshalb - Was ist - Warum - Bedeutung - Was bedeutet - Erklärung - Einfach erklärt - Beschreibung - Arbeitsblatt - Arbeitsblätter - Unterrichtsmaterial - Unterrichtsmaterialien - Lernen - Erlernen - Aufgaben - Lösungen - Abituraufgaben - Abiturvorbereitung - Abitur - Abi - Leistungskurs - LK - Klassenarbeit - Klassenarbeiten - Anwendungsaufgaben - Beispiel - Formel - Simulation - Diagramm - Rechner - Bild - Grafik - Berechnung - Darstellen - Grafische Darstellung |
![]() | ![]() |
Schwingungen - Überlagerung - Superpositionsprinzip

Modul Schwingungsüberlagerung
Das Unterprogramm [Elektrotechnik] - [Schwingungsüberlagerung] bietet die Möglichkeit Sachverhalte, welche bei der Superposition von Schwingungen bestehen, zu analysieren.

Überlagerung von Schwingungen - Abbildung 1

Überlagerung von Schwingungen - Abbildung 2
Als Superposition (Superpositionsprinzip) wird in der Physik die Überlagerung gleicher physikalischer Größen gemäß den Regeln einer Superposition in der Mathematik verstanden.
Harmonische Schwingungen können sich überlagern. Häufig treten derartige Tatsachen z.B. in der Akustik bei der Überlagerung von Schallwellen auf.
Schwingungen gleicher Frequenz und gleicher Richtung
Überlagern sich zwei Schwingungen gleicher Richtung und Frequenz, so ist die resultierende Elongation zu jedem Zeitpunkt gleich der algebraischen Summe der Einzelelongationen. Es resultiert wiederum eine harmonische Schwingung mit gleicher Schwingungsfrequenz.
Die Frequenz einer periodischen Bewegung wird als Schwingungsfrequenz bezeichnet. Die Amplitude der harmonischen Schwingung hängt von den Nullphasenwinkeln der einzelnen Schwingungen sowie den Einzelamplituden der beiden Schwingungen ab.

Abb 1: Schwingungen gleicher Frequenz und gleicher Richtung (blau und schwarz) und überlagerte Schwingung gleicher Richtung und gleicher Frequenz (grau)
Für die Überlagerung zweier Schwingungen mit gleicher Richtung und gleicher Frequenz gilt:
yR = y1 + y2 = ŷ1 sin (ωt + φ1) + ŷ2 sin (ωt + φ2)
Durch die Umformung dieser Gleichung mit Hilfe von Additionstheoremen ergibt sich:
yR = ŷR sin (ωt + φR)
Zudem gilt:

sowie

Besitzen beide Schwingungen gleiche Amplituden (ŷ1 = ŷ2) so gilt:

und

yR: Amplitude der resultierenden Schwingung
y1: Elongation der Schwingung 1
y2: Elongation der Schwingung 2
ŷ1: Amplitude der Schwingung 1
ŷ2: Amplitude der Schwingung 2
φ1: Nullphasenwinkel der Schwingung 1
φ2: Nullphasenwinkel der Schwingung 2
φR: Nullphasenwinkel der resultierenden Schwingung
t: Schwingungsdauer [s]
ω: Kreisfrequenz beider Schwingungen [1/s]
Der Nullphasenwinkel erteilt Auskunft darüber, wie weit die Nullstelle einer Schwingung y(t) zu einem Zeitpunkt t = 0 bezüglich einer rein sinusförimgen Schwingung verschoben ist.
Schwingungen ungleicher Frequenz und gleicher Richtung

Abb 2: Zwei Schwingungen ungleicher Frequenz und gleicher Richtung - Harmonische Schwingungen gleicher Richtung und ungleicher Frequenz

Abb 3: Schwingungen ungleicher Frequenz und gleicher Richtung - Überlagerte Schwingungen gleicher Richtung und ungleicher Frequenz
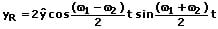
Disharmonische Schwingungen ungleicher Frequenz und gleicher Richtung (Schwingungsrichtung) entstehen bei der Überlagerung zweier harmonischer Schwingungen mit gleicher Richtung und ungleicher Frequenz. Für sie gilt:
yR = y1 + y2 = ŷ1 sin (ω1t ) + ŷ2 sin (ω2t)
Aus diesen Zusammenhängen ergibt sich durch die Umformung dieser Gleichung mit Hilfe von Additionstheoremen:

Für die Schwebungsdauer einer derartigen Schwingung gilt:

Die Schwebungsfrequenz einer derartigen Schwingung kann wie folgt ermittelt werden:
fS = f1 - f2
Die Frequenz der resultierenden Schwingung berechnet sich wie folgt:

Für die Periodendauer der resultierenden Schwingung gilt:

yR: Amplitude der resultierenden Schwingung [m]
ω1: Kreisfrequenz der Schwingung 1 [1/s]
ω2: Kreisfrequenz der Schwingung 2 [1/s]
ŷ: Amplitude der beiden Schwingungen 1 und 2 [m]
f1: Frequenz der Schwingung 1 [1/s]
f2: Frequenz der Schwingung 2 [1/s]
fS: Schwebungsfrequenz der resultierenden Schwingung [1/s]
fR: Frequenz der resultierenden Schwingung [1/s]
TS: Schwebungsdauer der resultierenden Schwingung [s]
TR: Periodendauer der resultierenden Schwingung [s]
t: Zeit [s]
Dieses Modul
In diesem Modul kann die Superposition zweier Schwingungen nachfolgend gezeigter Form analysiert werden:

mit
und

Hierbei sind:
ŷ,yRes: Resultierende, überlagerte Schwingung
y1, y2: Amplituden der Schwingungen 1 und 2
f1,f2: Frequenzen der Schwingungen 1 und 2 [1/s]
ω1, ω2: Kreisfrequenzen der Schwingungen 1 und 2 [1/s]
mit ω1 = 2πf1 und ω2 = 2πf2
Δφ: Nullphasenwinkel der Schwingung 1 [rad]
t: Zeit [s]
Bei einem Sonderfall der Überlagerung (Superpositionierung) von zwei harmonischen Schwingungen spricht man von einer Schwebung. Diese tritt unter der vereinfachten Voraussetzung ein, dass die Amplitudenwerte beider Schwingungen dieselben Werte besitzen, dass keine Phasendifferenz vorliegt und die Schwingungen nur einen geringen Frequenzunterschied aufweisen.
Hierbei schwankt die Amplitude (Schwingungsamplitude) periodisch zwischen dem Maximalwert ŷ und dem Minimalwert 0. Ist die für eine Schwebung als Voraussetzung eingeführte Bedingung, dass beide Schwingungen denselben Amplitudenwert besitzen nicht erfüllt, so entsteht eine unreine Schwebung. Bei ihr wird die Schwingungsamplitude nicht 0, sondern durchläuft lediglich ein Minimum. Zudem ist die Schwingungsdauer nicht konstant, sondern schwankt periodisch.
Programmbedienung
Oben aufgeführte Sachverhalte können Sie in diesem Programmteil untersuchen. Stellen Sie hierfür die Werte für die Frequenzen f1 und f2 mit Hilfe der Rollbalken Frequenz f1 und Frequenz f2 ein. Durch die Bedienung der Rollbalken Amplitude 1 und Amplitude 2 legen Sie die Amplituden der beiden Schwingungen fest. Mit Hilfe des Rollbalkens Phasendiff. stellen Sie den Wert für den Nullphasenwinkel der Schwingung 1 ein. Bedienen Sie die hierauf Schaltfläche Start, so kann die Auswirkung der Überlagerung der Schwingungen beobachtet werden. Durch Aktivierung des zur Verfügung stehenden Kontrollkästchens Gegenläufig kann eine gegenläufige Überlagerung der Schwingungen simuliert werden.

Überlagerung von Schwingungen - Abbildung 3

Überlagerung von Schwingungen - Abbildung 4
Mit Hilfe dieses Programms lassen sich unter anderem Grafiken für Arbeitsblätter zur nichtkommerziellen Nutzung für Unterrichtszwecke erstellen. Beachten Sie hierbei jedoch, dass jede Art gewerblicher Nutzung dieser Grafiken und Texte untersagt ist und dass Sie zur Verfielfältigung hiermit erstellter Arbeitsblätter und Unterrichtsmaterialien eine schriftliche Genehmigung des Autors (unseres Unternehmens) benötigen.
Diese kann von einem registrierten Kunden, der im Besitz einer gültigen Softwarelizenz für das entsprechende Programm ist, bei Bedarf unter der ausdrücklichen Schilderung des beabsichtigten Verfielfältigungszwecks sowie der Angabe der Anzahl zu verfielfältigender Exemplare für das entsprechende Arbeitsblatt unter der auf der Impressum-Seite dieses Angebots angegebenen Email-Adresse eingeholt werden. Es gelten unsere AGB.
Dieses Programm eignet sich neben seinem Einsatz als Berechnungs- bzw. Animationsprogramm zudem zum Lernen, zur Aneignung entsprechenden Fachwissens, zum Verstehen sowie zum Lösen verschiedener Aufgaben zum behandelten Fachthema. Durch seine einfache interaktive Handhabbarkeit bietet es die auch Möglichkeit der Durchführung unterschiedlicher Untersuchungen hierzu. Des Weiteren eignet es sich beim Üben dazu, um das Erlernte hinsichtlich praktizierter Übungen bzw. bearbeiteter Übungsaufgaben zu überprüfen und hierzu erworbenes Wissen festigen zu können.
Es kann sowohl zur Einführung in das entsprechende Fachthemengebiet, wie auch zur Erweiterung des bereits hierzu erlangten Fachwissens sowie als Unterstützung bei der Bearbeitung von Anwendungsaufgaben genutzt werden. Des Weiteren eignet es sich auch als Begleiter bei der Bearbeitung von Abituraufgaben sowie zur Vorbereitung auf Klassenarbeiten, zur Unterstützung bei der Abiturvorbereitung und zur Intensivierung des erforderlichen Wissens beim Abitur (Abi) im entsprechenden Leistungskurs (LK).
Mittels der anschaulichen Gestaltung und einfachen Bedienbarbarkeit einzelner Module dieser Software können Fragen zum entsprechenden Themengebiet, die mit den Worten Was ist?, Was sind?, Wie?, Wieviel?, Was bedeutet?, Weshalb?, Warum? beginnen beantwortet werden. Dieses Programm kann auch dabei behilflich sein, einen Begriff zum entsprechenden Fachthema zu erklären
Bei Fragen deren Wörter Welche?, Welcher?, Welches?, Wodurch? bzw. Wie rechnet man? oder Wie berechnet man? sind, können zugrunde liegende Sachverhalte oftmals einfach erklärt und nachvollzogen werden. Auch liefert diese Applikation zu vielen fachthemenbezogenen Problemen eine Antwort und stellt eine diesbezüglich verständliche Beschreibung bzw. Erklärung bereit.
Eine kleine Übersicht in Form von Bildern und kurzen Beschreibungen über einige zu den einzelnen Fachthemengebieten dieses Programms implementierte Unterprogramme finden Sie unter Kurzbeschreibungen von Modulen zum Themengebiet Mechanik - Kurzbeschreibungen von Modulen zum Themengebiet Elektrotechnik - Kurzbeschreibungen von Modulen zum Themengebiet Optik - Kurzinfos zum Themengebiet Thermodynamik sowie unter Kurzbeschreibungen von Modulen zu sonstigen Themengebieten.
Hilfreiche Informationen zu diesem Fachthema sind unter Wikipedia - Superposition sowie unter Wikipedia - Interferenz zu finden.
Nachfolgend finden Sie ein Video zu diesem Fachthema, welches Sie durch die Ausführung eines Klicks
auf die nachfolgend gezeigte Grafik abspielen lassen können.
Schräger Wurf - Schiefer Wurf, Waagerechter Wurf - Horizontaler Wurf, Hookesches Gesetz, Mechanische Arbeit, Zweites Newtonsches Gesetz, Drittes Newtonsches Gesetz, Gedämpfte mechanische Schwingung, Bewegungen auf einer Kreisbahn, Hebelgesetz, Chaotisches Doppelpendel, Mathematisches Pendel, Freier Fall und Luftwiderstand, Harmonische Schwingungen, Molekularbewegungen, Brownsche Bewegungen, Potentielle und kinetische Energie, Ideale Strömung - Volumenstrom, Druck in Flüssigkeiten, Wellen - Simulationen, Zusammengesetzte Bewegung, Bewegungen in der Ebene, Carnotscher Kreisprozess, Adiabatische Zustandsänderung, Isotherme Zustandsänderung, Isobare Zustandsänderung, Isochore Zustandsänderung, Beugung am Spalt, Hohlspiegel, Sammellinse, Zerstreuungslinse, Wechselstromkreise, RLC-Kreis - RLC-Schaltung, RL-Kreis - RL-Schaltung, RC-Kreis - RC-Schaltung, Resonanz - Resonanzkurve, Widerstände im Wechselstromkreis, Schwingungen und deren Überlagerung, Plattenkondensator, Ladung und Entladung von Kondensatoren, Reihenschaltung und Parallelschaltung, Lissajou-Figuren, 1. Keplersches Gesetz, 2. Keplersches Gesetz, 3. Keplersches Gesetz
Lissajousche Figuren - Reihen- und Parallelschaltung - Widerstände im Wechselstromkreis - Messbrücke - Widerstandsgesetz - Kondensator Ladung - Entladung - Kondensator - Kapazitäten - Plattenkondensator - Transformator - RC-Kreis - RL-Kreis - RLC-Kreis - Resonanz - Wechselstromkreis

Unterprogramm Schwingungsüberlagerung

PhysProf 1.1 - Unterprogramm RLC-Kreis

MathProf 5.0 - Unterprogramm Kurven in Parameterform

SimPlot 1.0 - Grafik- und Animationsprogramm für unterschiedlichste Anwendungszwecke
Nachfolgend finden Sie ein Video zu einem in PhysProf 1.1 unter dem Themenbereich Mechanik eingebundenen Unterprogramm,welches Sie durch die Ausführung eines Klicks auf die nachfolgend gezeigte Grafik abspielen lassen können.
Nachfolgend finden Sie ein Video zu einem in PhysProf 1.1 unter dem Themenbereich Elektrotechnik eingebundenen Unterprogramm, welches Sie durch die Ausführung eines Klicks auf die nachfolgend gezeigte Grafik abspielen lassen können.
Nachfolgend finden Sie ein Video zu einem in PhysProf 1.1 unter dem Themenbereich Thermodynamik eingebundenen Unterprogramm, welches Sie durch die Ausführung eines Klicks auf die nachfolgend gezeigte Grafik abspielen lassen können.
Nachfolgend finden Sie ein Video zu einer mit SimPlot 1.0 erstellten Animationsgrafik, welches Sie durch die Ausführung eines Klicks auf die nachfolgend gezeigte Grafik abspielen lassen können.
Nachfolgend finden Sie ein Video zu einer mit SimPlot 1.0 erstellten Animationsgrafik, welches Sie durch die Ausführung eines Klicks auf die nachfolgend gezeigte Grafik abspielen lassen können.
Nachfolgend finden Sie ein Video zu einer mit SimPlot 1.0 erstellten Animationsgrafik, welches Sie durch die Ausführung eines Klicks auf die nachfolgend gezeigte Grafik abspielen lassen können.

















