PhysProf - Reflexion - Licht - Strahlen - Totalreflexion - Polarisation
Fachthemen: Licht - Reflexion - Totalreflexion - Strahlen
PhysProf - Optik - Ein Programm zur Visualisierung physikalischer Sachverhalte mittels Simulationen und 2D-Animationen für die Schule, das Abitur, das Studium sowie für Lehrer, Ingenieure und alle die sich für Physik interessieren.
Online-Hilfe für das Modul
zur einfachen Veranschaulichung des Strahlenverlaufs der bei Reflexion (beim Zurückwerfen) von Licht vorherrscht.
Dieses kleine Unterprogramm unterstützt dabei ein tiefergehendes Verständnis zu diesem Themengebiet zu erlangen und kann zum Lösen vieler diesbezüglich relevanter Aufgaben eingesetzt werden.
Weitere relevante Seiten zu diesem Programm
Themen und Stichworte zu diesem Modul:Reflexionsgesetz - Totalreflexion - Lichtreflexion - Ausfallswinkel - Reflexionswinkel - Einfallswinkel - Grenzwinkel - Grenzwinkel der Totalreflexion - Gerichtete Reflexion - Ungerichtete Reflexion - Ebener Spiegel - Lichtstrahlen - Strahlen - Strahl - Strahlenmodell - Lichtstrahl - Lichtausbreitung - Geradlinige Lichtausbreitung - Schattenbild - Schattenbilder - Geometrische Optik - Licht - Absorption - Absorbieren - Lichtabsorption - Polarisation - Spiegel - Spiegelbild - Spiegelbilder - Spiegelung - Reflexion - Streuung - Lichtstreuung - Strahlenoptik - Linear polarisiert - Polarisierung - Brewstersches Gesetz - Brewster - Gesetz - Brewster Winkel - Polarisationswinkel - Polarisiertes Licht - Unpolarisiertes Licht - Definition - Divergenz - Konvergenz - Diffusion - Diffuse Reflexion - Divergent - Konvergent - Lichtbündel - Bündelung - Gebündelt - Bündeln - Gebündeltes Licht - Grundlagen - Randstrahlen - Parallel - Divergierend - Konvergierend - Diffus - Schattenraum - Schattenbildung - Schatten - Kernschatten - Halbschatten - Optische Aktivität - Herleitung - Beweis - Formel - Berechnen - Physik - Physikalisch - Arbeitsblatt - Arbeitsblätter - Unterrichtsmaterial - Unterrichtsmaterialien - Lernen - Aufgaben - Was - Wie - Weshalb - Was ist - Warum - Abituraufgaben - Abiturvorbereitung - Abitur - Abi - Leistungskurs - LK - Klassenarbeit - Klassenarbeiten - Anwendungsaufgaben - Einführung - Begriff - Begriffe - Bedeutung - Was bedeutet - Erklärung - Einfach erklärt - Beschreibung - Winkel - Vektoren |
![]() | ![]() |
Licht - Reflexion - Totalreflexion - Lichtausbreitung

Modul Reflexion
Unter dem Programmpunkt [Optik] - [Reflexion] wird es ermöglicht, den Strahlenverlauf, welcher bei Reflexion von Licht auftritt, zu untersuchen.

Reflexion - Abbildung 1

Reflexion - Abbildung 2
Die geometrische Optik oder Strahlenoptik ist ein Teilgebiet der Physik, welches sich unter anderem mit der Ausbreitung des Lichts sowie dem Verhalten von Lichtstrahlen hinsichtlich verschiedener Medien befasst.
Trifft eine ebene Welle an der Grenze des Mediums auf ein anderes, so tritt eine völlige oder teilweise Reflexion (Spiegelung) auf, d.h. trifft ein Lichtstrahl auf eine nicht lichtdurchlässige Fläche (ebener Spiegel), so wird er von dieser zurückgeworfen.
Das Einfallslot (eintreffender Strahl) sowie der reflektierte Strahl liegen in einer Ebene. Hergeleitet werden kann dies nach dem Fermatschen Prinzip, welches besagt, dass ein Lichtstrahl stets den Weg wählt durch welchen er in kürzester Zeit von der Quelle zum Empfänger gelangt.
Das Reflexionsgesetz besagt, dass wenn der an der Grenze eines Mediums auftreffende (Licht-) Strahl reflektiert wird, der Einfallswinkel dessen gleich seinem Ausfallswinkel (Reflexionswinkel) ist. Das Reflexionsgesetz wird bei sehr vielen optischen Aufbauten und Methoden angewandt. Der einfallende Strahl sowie der reflektierte (ausfallende Strahl) liegen in einer Ebene. Es gilt:
α = β
Ausfallswinkel (Reflexionswinkel) = Einfallswinkel
α: Einfallswinkel des Strahls
β: Ausfallswinkel (Reflexionswinkel) des Strahls
Programmbedienung
Durch eine Benutzung der zur Verfügung stehenden Rollbalken Winkel und Punkt können Sie die Werte für den Einfallswinkel des Lichtstrahls sowie die horizontale Position des Lichteintreffpunkts einstellen und sich das Prinzip verständlich machen. Optional können Sie durch die Aktivierung der entsprechenden Kontrollkästchen wählen, ob ein Winkel und/oder ein Koordinatensystem dargestellt werden sollen.
Lichtstrahlen - Lichtausbreitung - Strahlenmodell
Lichtausbreitung:
Das von einer Lichtquelle ausgehende Licht breitet sich im leeren Raum sowie in einem Stoff geradlinig und in alle Richtungen aus.
Das Verhalten des Lichts bezüglich seiner Ausbreitung und Veränderung wird durch das Strahlenmodell (geometrische Optik) charakterisiert. Mittels ihm kann seine Ausbreitung durch reflektierende und lichtbrechende Elemente beschrieben werden.
Konvergenz: Strahlen (Lichtstrahlen) die sich in einem gemeinsamen Punkt sammeln sind konvergent (konvergierend).
Divergenz: Als divergent (divergierend) bezeichnet werden Lichtstrahlen, die von einem Punkt ausgehend kreisförmig strahlen.
Diffusion (diffuse Reflexion): Strahlen die keinen gemeinsamen Ausgangspunkt oder Zielpunkt besitzen werden diffus genannt. Eine Reflexion dieser Art wird als diffuse Reflexion bezeichnet.
Streuung - Lichtstreuung - Absorption
Tritt Licht in Form eines Strahls durch ein Objekt, so kommt es durch die Wechselwirkung mit dessen Bestandteilen (u.a. Atomen und Molekülen) zu einer Ablenkung von seiner ursprünglich geradlinig verlaufenden Bahn. Diese Begebenheit wird als Streuung des Lichts oder Lichtstreuung bezeichnet. Ein Objekt, welches Licht regelmäßig streut, ist allseitig räumlich sichtbar. Objekte bei denen lediglich eine einseitige Streuung des einfallenden Lichts (eine unregelmäßige Reflexion) erfolgt, sorgen für Schattenbildung in deren Umgebung.

Von einer Absorption des Lichts (einer Lichtabsorption) wird gesprochen, wenn Lichtstrahlen ein Medium nicht mehr durchdringen. Ein Objekt welches keinen Lichtstrahl durchlässt, ist nicht mehr sichtbar. Es erscheint in seiner Umgebung in schwarzer Farbe. Die Absorption ist ein Maß für die Dunkelheit eines Objekts. Licht wird von nahezu jedem Objekt absorbiert. Die Absorption des Lichts kann unter bestimmten Voraussetzungen auch lediglich für bestimmte Farben dessen erfolgen. Sie führt zu einer Erwärmung der entsprechenden Materie.
Handelt es sich um eine glatte Oberfläche auf die ein Lichtstrahl trifft und wird dieser von ihr reflektiert, so wird von einer gerichteten Reflexion gesprochen. Eine ungerichtete Reflexion (eine Streuung) hingegen tritt beim Auftreffen eines Strahls auf eine rauhe Oberfläche auf.
Lichtbündel - Randstrahlen - Lichtweg

Lichtbündel setzen sich aus vielen Lichtstrahlen zusammen. Gebündeltes Licht breitet sich in homogenen Medien geradlinig aus. Der Vorgang des Bündelns von Licht wird als Bündelung bezeichnet. Erzeugen lassen sich Lichtbündel durch die Lenkung derartiger Strahlen durch Blenden und Öffnungen. Sie stellen räumlich begrenzte Bereiche dar, über welche sich Lichtstrahlen ausbreiten können. Strahlen die diesen Bereich begrenzen werden als Randstrahlen bezeichnet. Es wird zwischen den folgenden grundlegenden Arten von Lichtbündeln unterschieden:
- divergierende Lichtbündel
- konvergierende Lichtbündel
- parallele Lichtbündel
Als divergiende (auseinanderlaufende) Lichtbündel werden Bündel dieser Art bezeichnet, bei denen Lichtstrahlen in Richtung ihrer Ausbreitung auseinanderlaufen.
Konvergierende (zusammenlaufende) Lichtbündel sind Bündel bei denen Lichtstrahlen in Richtung ihrer Ausbreitung zusammenlaufen und sich in einem Punkt treffen.
Bei einem parallelen Lichtbündel treffen sich aus der Öffnung austretende Lichtstrahlen nicht. Sie verlaufen vielmehr geradlinig parallel. Zum Einsatz kommen (nahezu) parallele Lichtbündel bei der Erzeugung von Laserlicht.
Spiegelbild
Ein Spiegelbild ist die reflektierte Vervielfältigung eines Objekts, welches nahezu konform zum Objekt zu sein scheint, jedoch in seiner Richtung vertikal zur Spiegeloberfläche umgekehrt ist. Spiegelbilder entstehen durch Reflexionen an Substanzen wie einem Spiegel oder Wasser.
Eigenschaften des Bildes eines ebenen Spiegels:
Das Spiegelbild eines ebenen Spiegels besitzt exakt die Größe des Gegenstands.
Es besitzt den gleichen Abstand zum Originalgegenstand wie zum Spiegel.
Gegenstand und Spiegelbild sind bezüglich der Spiegelebene symmetrisch.
Es ist virtuell und scheint sich für Betrachter in derselben Entfernung hinter der Spiegelebene zu befinden.
Schatten - Schattenbildung - Kernschatten - Halbschatten
Der lichtfreie Bereich hinter einem Gegenstand wird als Schatten oder Schattenraum bezeichnet. Bei einer punktförmigen Lichtquelle entsteht hinter dem Gegenstand ein Kernschatten. Besitzt die Lichtquelle eine flächenhafte Ausdehnung, oder sind zwei oder mehrere Lichtquellen vorhanden, so entsteht ein Kernschatten K sowie ein Halbschatten H.

Abb. 1 - Kernschatten

Abb. 2 - Halbschatten - Kernschatten
Schattenbilder: Als Schattenbild wird ein durch einen Schatten auf einer Fläche erzeugtes Bild bezeichnet. Wird hierbei lediglich eine einzelne ausgedehnte Lichtquelle eingesetzt, so entsteht ein unscharfes Schattenbild, bei dem der Kernschatten in einzelne Teilschatten übergeht. Werden hingegen mehrere Lichtquellen verwendet, so bilden sich genau so viele Halbschatten (Teilschatten) wie Lichtquellen eingesetzt werden.
Als Randstrahlen werden Lichstrahlen bezeichnet, die noch unmittelbar an einem Hindernis vorbei gehen. Sie bilden die Grenze zwischen Licht und Schatten.
Totalreflexion
Hinsichtlich des Einfallens eines Lichtstrahls aus einem dichteren Medium auf ein dünneres Medium sind drei Fälle zu unterschieden. Der Winkel ab welchem eine Totalreflexion auftritt wird als Grenzwinkel bezeichnet.
Fall 1:
Ist der Einfallswinkel des Lichts kleiner dem Grenzwinkel des Lichts, so wird ein Teil des Lichts reflektiert, der andere Teil wird gebrochen.

Fall 2:
Entspricht der Einfallswinkel des Lichts dem Grenzwinkel des Lichts, so wird ein Teil des Lichts reflektiert, der andere Teil wird gebrochen. Der gebrochene Teil des Lichts verläuft an der Grenzfläche der Medien.

Fall 3:
Ist der Einfallswinkel des Lichts größer als der Grenzwinkel des Lichts, so wird der Lichtstrahl vollständig reflektiert und es findet keine Brechung des Lichts statt. Dieser Fall wird als Totalreflexion bezeichnet.

Definition der Totalreflexion:
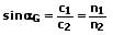
Beim Übergang von einem dichteren Medium 1 in ein dünneres Medium 2 kann der Einfallswinkel des Lichtstrahls α den Grenzwinkel (größten Winkel) αG nicht überschreiten. Ist α > αG, so tritt eine sogenannte Totalreflexion ein. Er wird in das dichtere Medium 2 reflektiert.
Bei der Totalreflexion gilt:

αG: Grenzwinkel der Totalreflexion [rad]
c1: Lichtgeschwindigkeit im Medium 1 (dichteres Medium) [m/s]
c2: Lichtgeschwindigkeit im Medium 2 (dünneres Medium) [m/s]
n1: Brechzahl des Mediums 1
n2: Brechzahl des Mediums 2
In der nachfolgenden Tabelle sind Werte für den Grenzwinkel αG aufgeführt:
| Übergang | von Luft | nach Wasser |
| Benzol | 41,763 | 62,602 |
| Diamant | 24,437 | 33,466 |
| Ethanol | 47,25 | 78,194 |
| Flintglas F3 | 38,319 | 55,742 |
| Flintglas SF4 | 34,737 | 49,425 |
| Glycerin | 43,416 | 66,369 |
| Kronglas FK3 | 43,067 | 65,538 |
| Kronglas BK1 | 41,471 | 61,978 |
| Methanol | 48,803 | - |
| Plexiglas | 42,12 | 63,383 |
| Polystyrol | 39,03 | 57,078 |
| Quarzglas | 43,272 | 66,025 |
| Schwefelkohlenstoff | 37,905 | 54,977 |
| Steinsalz | 40,358 | 59,677 |
| Wasser | 48,607 | - |
Hinweis:
Die Brechzahlen einiger Medien sind zu finden unter Lichtbrechung.
Polarisation durch Reflexion - Polarisiertes Licht - Optische Aktivität
Licht, welches von der Sonne ausgestrahlt wird ist ungeordnet, und wird als unpolarisiert bezeichnet. Es besitzt beliebige Schwingungsrichtungen, die vertikal zu seiner Ausbreitungsrichtung verlaufen. Schwingen Lichtwellen hingegen lediglich in einer Ebene, so wird das durch sie übertragene Licht als polarisiertes Licht bezeichnet.
Licht kann polarisiert werden. Von Polarisierung wird gesprochen, wenn bestimmte Schwingungsrichtungen des Lichts bevorzugt werden. Polarisiert werden können lediglich Transversalwellen des Lichts. Das Licht natürlicher Quellen ist im Normalfall nicht polarisiert. Eine Polarisation dessen kann jedoch durch seine Reflexion oder Brechung an bestimmten Grenzflächen zweier verschiedener Medien erfolgen. Bei einer Polarisation durch Reflexion an einer derartigen Grenzfläche wird ein bestimmter Teil eines Strahlenbündels teilweise reflektiert, der andere Teil wird gebrochen. Reflektiertes Licht schwingt größtenteils vertikal zur Einfallsebene, das gebrochene Licht schwingt hingegen in dieser.

Unter bestimmten Voraussetzungen tritt jedoch eine vollständige Polarisation dessen auf.

Das Brewstersche Gesetz besagt, dass eine vollständige Polarisation an einer Grenzfläche dann auftritt, wenn der Tangens des Einfallswinkels (Brewster-Winkels) dem Wert der Brechzahl des Mediums ist. Es gilt:
tan αp = n
αp: Polarisationswinkel oder Brewster-Winkel [rad]
n: Brechzahl
Der Polarisationswinkel (Brewster-Winkel) ist eine Größe, die den Winkel angibt, bei dem von Licht, das auf ein nicht absorbierendes Medium einfällt, lediglich eine Reflexion der orthogonal zur Einfallsebene polarisierten Anteile erfolgt. Die Werte für den Polarisationwinkel einiger Stoffe sind in nachfolgend gezeigter Tabelle aufgeführt.
| Medium | Polarisationwinkel αp |
| Luft | 57° |
| Ammoniak | 52,96° |
| Ethanol | 53,71° |
| Plexiglas | 58,12° |
| Polystyrol | 57,8° |
| Quarzglas | 55,57° |
| Steinsalz | 57,07° |
| Wasser | 53,12° |
Optische Aktivität:
Es existieren Stoffe, die die Fähigkeit besitzen linear polarisiertes Licht zu drehen. Substanzen dieser Art besitzen eine asymmetrische Struktur. Diese physikalische Eigenschaft wird als optische Aktivität bezeichnet. Dreht sich die Polarisationsebene nach rechts, so wird die entsprechende Substanz als optisch rechtsdrehend bezeichnet, ansonsten heißt sie linksdrehend.
Der entsprechende sogenannte Drehwert wird mittels eines Polarimeters gemessen. Mittels dieses Drehwerts kann der spezifische Drehwinkel eines untersuchten Stoffes bestimmt werden. Dieser beschreibt die optische Aktivität einer chemischen Substanz.

Reflexion - Abbildung 3

Reflexion - Abbildung 4
Mit Hilfe dieses Programms lassen sich unter anderem Grafiken für Arbeitsblätter zur nichtkommerziellen Nutzung für Unterrichtszwecke erstellen. Beachten Sie hierbei jedoch, dass jede Art gewerblicher Nutzung dieser Grafiken und Texte untersagt ist und dass Sie zur Verfielfältigung hiermit erstellter Arbeitsblätter und Unterrichtsmaterialien eine schriftliche Genehmigung des Autors (unseres Unternehmens) benötigen.
Diese kann von einem registrierten Kunden, der im Besitz einer gültigen Softwarelizenz für das entsprechende Programm ist, bei Bedarf unter der ausdrücklichen Schilderung des beabsichtigten Verfielfältigungszwecks sowie der Angabe der Anzahl zu verfielfältigender Exemplare für das entsprechende Arbeitsblatt unter der auf der Impressum-Seite dieses Angebots angegebenen Email-Adresse eingeholt werden. Es gelten unsere AGB.
Dieses Programm eignet sich neben seinem Einsatz als Berechnungs- bzw. Animationsprogramm zudem zum Lernen, zur Aneignung entsprechenden Fachwissens, zum Verstehen sowie zum Lösen verschiedener Aufgaben zum behandelten Fachthema. Durch seine einfache interaktive Handhabbarkeit bietet es die auch Möglichkeit der Durchführung unterschiedlicher Untersuchungen hierzu. Des Weiteren eignet es sich beim Üben dazu, um das Erlernte hinsichtlich praktizierter Übungen bzw. bearbeiteter Übungsaufgaben zu überprüfen und hierzu erworbenes Wissen festigen zu können.
Es kann sowohl zur Einführung in das entsprechende Fachthemengebiet, wie auch zur Erweiterung des bereits hierzu erlangten Fachwissens sowie als Unterstützung bei der Bearbeitung von Anwendungsaufgaben genutzt werden. Des Weiteren eignet es sich auch als Begleiter bei der Bearbeitung von Abituraufgaben sowie zur Vorbereitung auf Klassenarbeiten, zur Unterstützung bei der Abiturvorbereitung und zur Intensivierung des erforderlichen Wissens beim Abitur (Abi) im entsprechenden Leistungskurs (LK).
Mittels der anschaulichen Gestaltung und einfachen Bedienbarbarkeit einzelner Module dieser Software können Fragen zum entsprechenden Themengebiet, die mit den Worten Was ist?, Was sind?, Wie?, Wieviel?, Was bedeutet?, Weshalb?, Warum? beginnen beantwortet werden.
Eine Herleitung dient dazu, zu erklären, weshalb es zu einer Aussage kommt. Derartige Folgerungen sind unter anderem dazu nützlich, um zu verstehen, weshalb eine Formel bzw. Funktion Verwendung finden kann. Dieses Modul kann auch in diesem Fall hilfreich sein und ermöglicht es durch dessen Nutzung oftmals, einer entsprechenden Herleitung bzw. einem Beweis zu folgen, oder einen Begriff zum entsprechenden Fachthema zu erklären.
Bei Fragen deren Wörter Welche?, Welcher?, Welches?, Wodurch? bzw. Wie rechnet man? oder Wie berechnet man? sind, können zugrunde liegende Sachverhalte oftmals einfach erklärt und nachvollzogen werden. Auch liefert diese Applikation zu vielen fachthemenbezogenen Problemen eine Antwort und stellt eine diesbezüglich verständliche Beschreibung bzw. Erklärung bereit.
Eine kleine Übersicht in Form von Bildern und kurzen Beschreibungen über einige zu den einzelnen Fachthemengebieten dieses Programms implementierte Unterprogramme finden Sie unter Kurzbeschreibungen von Modulen zum Themengebiet Mechanik - Kurzbeschreibungen von Modulen zum Themengebiet Elektrotechnik - Kurzbeschreibungen von Modulen zum Themengebiet Optik - Kurzinfos zum Themengebiet Thermodynamik sowie unter Kurzbeschreibungen von Modulen zu sonstigen Themengebieten.
Nachfolgend finden Sie ein Video zu diesem Fachthema, welches Sie durch die Ausführung eines Klicks
auf die nachfolgend gezeigte Grafik abspielen lassen können.
Schräger Wurf - Schiefer Wurf, Waagerechter Wurf - Horizontaler Wurf, Hookesches Gesetz, Mechanische Arbeit, Zweites Newtonsches Gesetz, Drittes Newtonsches Gesetz, Gedämpfte mechanische Schwingung, Bewegungen auf einer Kreisbahn, Hebelgesetz, Chaotisches Doppelpendel, Mathematisches Pendel, Freier Fall und Luftwiderstand, Harmonische Schwingungen, Molekularbewegungen, Brownsche Bewegungen, Potentielle und kinetische Energie, Ideale Strömung - Volumenstrom, Druck in Flüssigkeiten, Wellen - Simulationen, Zusammengesetzte Bewegung, Bewegungen in der Ebene, Carnotscher Kreisprozess, Adiabatische Zustandsänderung, Isotherme Zustandsänderung, Isobare Zustandsänderung, Isochore Zustandsänderung, Beugung am Spalt, Hohlspiegel, Sammellinse, Zerstreuungslinse, Wechselstromkreise, RLC-Kreis - RLC-Schaltung, RL-Kreis - RL-Schaltung, RC-Kreis - RC-Schaltung, Resonanz - Resonanzkurve, Widerstände im Wechselstromkreis, Schwingungen und deren Überlagerung, Plattenkondensator, Ladung und Entladung von Kondensatoren, Reihenschaltung und Parallelschaltung, Lissajou-Figuren, 1. Keplersches Gesetz, 2. Keplersches Gesetz, 3. Keplersches Gesetz
Lichtbrechung - Zerstreuungslinse - Sammellinse - Hohlspiegel - Reflexion am Spiegel - Beugung am Spalt - Plancksches Strahlungsgesetz

Unterprogramm Reflexion

PhysProf 1.1 - Unterprogramm RLC-Kreis

MathProf 5.0 - Unterprogramm Kurven in Parameterform

SimPlot 1.0 - Grafik- und Animationsprogramm für unterschiedlichste Anwendungszwecke
Nachfolgend finden Sie ein Video zu einem in PhysProf 1.1 unter dem Themenbereich Mechanik eingebundenen Unterprogramm,welches Sie durch die Ausführung eines Klicks auf die nachfolgend gezeigte Grafik abspielen lassen können.
Nachfolgend finden Sie ein Video zu einem in PhysProf 1.1 unter dem Themenbereich Elektrotechnik eingebundenen Unterprogramm, welches Sie durch die Ausführung eines Klicks auf die nachfolgend gezeigte Grafik abspielen lassen können.
Nachfolgend finden Sie ein Video zu einem in PhysProf 1.1 unter dem Themenbereich Thermodynamik eingebundenen Unterprogramm, welches Sie durch die Ausführung eines Klicks auf die nachfolgend gezeigte Grafik abspielen lassen können.
Nachfolgend finden Sie ein Video zu einer mit SimPlot 1.0 erstellten Animationsgrafik, welches Sie durch die Ausführung eines Klicks auf die nachfolgend gezeigte Grafik abspielen lassen können.
Nachfolgend finden Sie ein Video zu einer mit SimPlot 1.0 erstellten Animationsgrafik, welches Sie durch die Ausführung eines Klicks auf die nachfolgend gezeigte Grafik abspielen lassen können.
Nachfolgend finden Sie ein Video zu einer mit SimPlot 1.0 erstellten Animationsgrafik, welches Sie durch die Ausführung eines Klicks auf die nachfolgend gezeigte Grafik abspielen lassen können.
















