PhysProf - Geschwindigkeit - Beschleunigte Bewegung
Fachthemen: Gleichförmige geradlinige Bewegung und gleichförmig beschleunigte geradlinige Bewegung - Geschwindigkeit
PhysProf - Kinematik - Ein Programm zur Visualisierung physikalischer Sachverhalte mittels Simulationen und 2D-Animationen zur Erlangung des Wissens der Grundlagen der Physik sowie für die Schule, das Abitur, das Studium sowie für Lehrer, Ingenieure und alle die sich für Physik interessieren.
Online-Hilfe für das Modul
zur Durchführung von Untersuchungen hinsichtlich der geltenden Gesetze der Bewegungslehre bei der Ausführung gleichförmig und gleichförmig beschleunigter Bewegungen.
Dieses Teilprogramm ermöglicht die Praktizierung interaktiver Analysen zum Fachthema Bewegungsarten, wie auch eine Auswertung der entsprechenden physikalischen Sachverhalte. Es unterstützt dabei ein tiefergehendes Verständnis zu diesem Themengebiet zu erlangen und kann zum Lösen vieler diesbezüglich relevanter Aufgaben (Bewegungsaufgaben) eingesetzt werden.

Weitere relevante Seiten zu diesem Programm
Durch die Ausführung eines Klicks auf die nachfolgend gezeigte Schaltfläche gelangen Sie zur Startseite dieser Homepage.
Themen und Stichworte zu diesem Modul: |
Gleichförmige Bewegung und gleichförmig beschleunigte Bewegung
Mit Hilfe des Unterprogramms [Mechanik I] - [Gleichförmige und gleichförmig beschleunigte Bewegung] können Untersuchungen zu den physikalischen Fachgebietsthemen (Bewegungsarten) Gleichförmige Bewegung und Gleichförmig beschleunigte Bewegung durchgeführt werden.
Bei Bewegungsformen (Bewegungsarten) wird grundsätzlich zwischen den drei nachfolgend beschriebenen Fällen unterschieden:
- Geradlinige Bewegung (Translation)
- Kreisförmige Bewegung (Rotation)
- Schwingende Bewegung (Oszillation)
In diesem Unterprogramm wird aus dem Themengebiet der Kinematik ausschließlich die geradlinige Bewegung behandelt.
Die Kinematik ist ein Teilgebiet der Physik. Sie ist die Lehre der Bewegungen von Körpern und deren Gesetzen die sich ausschließlich mit den Größen Zeit, Ort, Geschwindigkeit und Beschleunigung befasst. Ursachen für Bewegungen dieser Art werden hierbei nicht beachtet.
Eine Geschwindigkeit beschreibt, wie schnell und in welcher Richtung ein Körper oder ein Zusammenhang abhängig von der Zeit seinen Ort verändert. Sie ist eine vektorielle Größe, welche durch ihren Betrag sowie ihre Richtung beschrieben wird.
Unter einer konstanten Geschwindigkeit wird das Verhältnis des zurückgelegten Weges zur dafür benötigten Zeit verstanden. Unter einer konstanten Beschleunigung versteht man das Verhältnis der Geschwindigkeitsänderung zur dafür benötigten Zeit.
Als Beschleunigung oder Beschleunigen wird die zeitliche Änderung der Geschwindigkeit bezeichnet. Nimmt die Geschwindigkeit gleichmäßig zu, so ist die Beschleunigung positiv; nimmt sie ab, so ist sie negativ.
Das Weg-Zeit-Gesetz beschreibt einen zurückgelegten Weg als Funktion der Zeit.
Weg-Zeit-Diagramme (s-t-Diagramme): Als Weg-Zeit-Diagramm oder s-t-Diagramm wird ein zweidimensionales Diagramm bezeichnet, welches auf einer Achse (meist der horizontalen Achse) eine Längenangabe und der anderen (meist der vertikalen Achse) eine Zeitangabe darstellt.
Geschwindigkeits-Zeit-Diagramme (v-t-Diagramme): Als Geschwindigkeits-Zeit-Diagramm oder v-t-Diagramm wird ein zweidimensionales Diagramm bezeichnet, welches auf einer Achse (meist der horizontalen Achse) eine Geschwindigkeitsangabe und der anderen (meist der vertikalen Achse) eine Zeitangabe darstellt.
Gleichförmige Bewegungen: Als gleichförmige Bewegung wird eine Bewegung bezeichnet, die eine gleichbleibende konstante Geschwindigkeit in gleichbleibender Richtung besitzt.
I - Gleichförmige (gleichmäßige) geradlinige Bewegung

Gleichförmige Bewegung - Abbildung 1

Gleichförmige Bewegung - Abbildung 2
Ein Körper, welcher sich bewegt (eine eindimensionale Bewegung ausführt) ohne eine Beschleunigung oder Abbremsung zu erfahren, vollführt eine gleichförmige geradlinige Bewegung (auch bezeichnet als gleichmäßige Bewegung, gleichmäßige Translation oder gleichförmige Bewegung). Diese lässt sich beschreiben durch die Definitionsgleichung bzw. Formel:

Hierbei sind:
v: Geschwindigkeit [m/s]
s: Weg [m]
t: Zeit [s]
Hinweis:
1 km/h entspricht 3,6 m/s.
Nachfolgend dargestellt sind als Bewegungsdiagramme das s-t-Diagramm (Weg-Zeit-Diagramm) sowie das v-t-Diagramm (Geschwindigkeits-Zeit-Diagramm) einer gleichförmigen Bewegung. Die entsprechenden Schaubilder verdeutlichen die relevanten Zusammenhänge zu diesem Fachthema.
Ein bereits zurückgelegter Weg ist nicht hierbei berücksichtigt und beträgt somit bei allen dargestellten Fällen 0 m. Als zurückgelegter Weg (Wegstrecke) oder zurückgelegte Strecke wird die Länge eines auf der Erdoberfläche zurückgelegten Weges eines Fußgängers oder Fahrzeugs bezeichnet.

Gleichförmige Bewegung (Translation) - st-Diagramm

Gleichförmige Bewegung (Translation) - vt-Diagramm
II - Gleichförmig (gleichmäßig) beschleunigte geradlinige Bewegung

Gleichförmig beschleunigte Bewegung - Abbildung 1

Gleichförmig beschleunigte Bewegung - Abbildung 2
Die Beschleunigung bei einer gleichförmig (gleichmäßig) beschleunigten geradlinigen Bewegung ist konstant. Hierbei gelten die folgenden Bewegungsgesetze:
Das Weg-Zeit-Gesetz (Weg Zeit Gesetz) lautet:

Das Geschwindigkeits-Zeit-Gesetz lautet:
v = at
v: Geschwindigkeit [m/s]
s: Weg [m]
t: Zeit [s]
a: Beschleunigung [m/s²]
1. Gleichförmig (gleichmäßig) beschleunigte geradlinige Bewegung ohne Anfangsgeschwindigkeit:
Nimmt die Geschwindigkeit aus der Ruhe heraus zu, so gilt zudem folgendes:

v: Geschwindigkeit nach Ablauf der Zeit t [m/s]
s: Weg, welcher in der Zeit t zurückgelegt wurde [m]
t: Zeit [s]
a: Beschleunigung [m/s²]
Nachfolgend dargestellt sind in Form von Bewegungsdiagrammen das s-t-Diagramm (Weg-Zeit-Diagramm), das v-t-Diagramm (Geschwindigkeits-Zeit-Diagramm) sowie das a-t-Diagramm (Beschleunigungs-Zeit-Diagramm) zu einer gleichförmig beschleunigten geradlinigen Bewegung ohne Anfangsgeschwindigkeit.
Die entsprechenden Schaubilder verdeutlichen die relevanten Zusammenhänge zu diesem Fachthema. Ein bereits zurückgelegter Weg ist nicht hierbei berücksichtigt und beträgt somit bei allen dargestellten Fällen 0 m. Auch wird bei den gezeigten Grafiken zugrunde gelegt, dass keine Anfangsgeschwindigkeit vorhanden war.

Gleichförmig beschleunigte Bewegung (Translation) ohne Anfangsgeschwindigkeit - st-Diagramm

Gleichförmig beschleunigte Bewegung (Translation) ohne Anfangsgeschwindigkeit - vt-Diagramm

Gleichförmig beschleunigte Bewegung (Translation) ohne Anfangsgeschwindigkeit - at-Diagramm
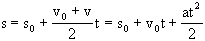
2. Gleichförmig (gleichmäßig) beschleunigte geradlinige Bewegung mit Anfangsgeschwindigkeit:
Ist eine Anfangsgeschwindigkeit v0 ohne bereits zurückgelegten Weg vorhanden, so gelten folgende Zusammenhänge:



Wird der zur Zeit t0 bereits zurückgelegte Weg s0 berücksichtigt, so gilt:

Hierbei sind:
v0: Anfangsgeschwindigkeit [m/s]
v: Endgeschwindigkeit [m/s]
s: Weg, welcher in der Zeit t zurückgelegt wurde [m]
t: Zeit [s]
a: Beschleunigung [m/s²]
Nachfolgend dargestellt sind das s-t-Diagramm (Weg-Zeit-Diagramm), das v-t-Diagramm (Geschwindigkeits-Zeit-Diagramm) sowie das a-t-Diagramm (at-Diagramm oder Beschleunigungs-Zeit-Diagramm) zu einer gleichförmig beschleunigten geradlinigen Bewegung mit Anfangsgeschwindigkeit.
Die entsprechenden Schaubilder verdeutlichen die relevanten Zusammenhänge zu diesem Fachthema. Ein bereits zurückgelegter Weg ist nicht hierbei berücksichtigt und beträgt somit bei allen dargestellten Fällen 0 m. Auch wird bei den gezeigten Grafiken zugrunde gelegt, dass eine Anfangsgeschwindigkeit vorhanden war.

Gleichförmig beschleunigte Bewegung (Translation) mit Anfangsgeschwindigkeit - st-Diagramm

Gleichförmig beschleunigte Bewegung (Translation) mit Anfangsgeschwindigkeit - vt-Diagramm
Gleichförmig beschleunigte Bewegung (Translation) mit Anfangsgeschwindigkeit - at-Diagramm
Hinweis:
Eine gleichförmig beschleunigte Bewegung wird auch als gleichmäßig beschleunigte Bewegung oder (nicht korrekt) als gleichmäßige Beschleunigung bezeichnet.
Programmbedienung
Die oben aufgeführten Zusammenhänge können in diesem Unterprogramm untersucht werden. Um Sachverhalte zu diesem Fachthema zu analysieren, sollten Sie folgende Vorgehensweise anwenden:
Wählen Sie durch die Aktivierung des entsprechenden Kontrollschalters, ob Sie eine Gleichförmige Bewegung oder eine Gleichförmig beschleunigte Bewegung untersuchen möchten.
Gleichförmige Bewegung:
Legen Sie mit Hilfe des Rollbalkens Geschwindigkeit v fest, mit welcher Geschwindigkeit v sich das abgebildete Fahrzeug bewegen soll. Durch die Positionierung des Rollbalkens Zurückgel. Weg s stellen Sie den Wert für den Weg s ein, den das Fahrzeug bereits zurückgelegt hat, wenn es die festgelegte Geschwindigkeit besitzt.
Gleichförmig beschleunigte Bewegung:
Positionieren Sie den Rollbalken Beschleunigung a um festzulegen, mit welchem Beschleunigungswert a der Bewegungsablauf durchgeführt werden soll. Den vom Fahrzeug bereits zurückgelegten Weg s stellen Sie mit Hilfe des Rollbalkens Zurückgel. Weg s ein. Die Benutzung des Rollbalkens Anfangsgeschw. v erlaubt es, dem Fahrzeug eine Anfangsgeschwindigkeit v zuzuweisen.
Starten können Sie die Simulation indem Sie die Schaltfläche Start bedienen. Durch einen Klick auf die Schaltfläche Urzustand können Sie die grafische Darstellung wieder in den Anfangszustand zurückversetzen lassen. Die Aktivierung des Menüpunkts Option - Dauer-Simu erlaubt die Durchführung einer Endlos-Animation. In den dargestellten Diagrammen wird das Verhalten der Geschwindigkeit (Weg-Zeit-Diagramm) und der Beschleunigung (Geschwindigkeits-Zeit-Diagramm) ausgegeben.
Gleichmäßig verzögerte Bewegung - Bremsen
Gleichmäßig verzögerte Bewegung (Bremsen):
Als gleichmäßig verzögert (oder verzögerte Bewegung) wird eine Bewegung bezeichnet, bei welcher die Beschleunigung des Körpers konstant ist und diese negativ ist. Eine Verzögerung (das Bremsen) unterscheidet sich von der Beschleunigung durch ihr negatives Vorzeichen.
Nachfolgend dargestellt sind das s-t-Diagramm (Weg-Zeit-Diagramm) sowie das v-t-Diagramm (Geschwindigkeits-Zeit-Diagramm) zu einer gleichförmig verzögerten Bewegung.

Gleichförmig verzögerte Bewegung (Translation) - st-Diagramm

Gleichförmig verzögerte Bewegung (Translation) - vt-Diagramm
Beschleunigung bei geradlinigen Bewegungsarten
In der nachfolgenden Übersicht ist das Verhalten der Beschleunigung bezüglich geradliniger Bewegungsarten aufgeführt.
| Bewegungsart | Beschleunigung a |
| Gleichförmig | 0 |
| Gleichmäßig beschleunigt | Bleibt konstant |
| Ungleichmäßig beschleunigt | Verändert sich |
Beschleunigungsarbeit
Beschleunigungsarbeit wird verrichtet, wenn ein Körper durch eine konstante Kraft FS längs eines Weges s gleichmäßig beschleunigt wird. Die Kraft FS, die Beschleunigung a sowie der Weg s besitzen hierbei die gleiche Richtung.
Wird der Körper aus der Ruhelage beschleunigt, so gilt:
WB = mas = 1/2mv²
Besitzt der zu beschleunigende Körper bereits eine Anfangsgeschwindigkeit, so gilt:
WB = mas = m/2(v² - v0²)
WB: Beschleunigungsarbeit [J]
m: Masse des beschleunigten Körpers [kg]
a: erzielte Beschleunigung des Körpers [m/s²]
v: erreichte Geschwindigkeit des Körpers [m/s]
v0: Anfangsgeschwindigkeit des Körpers [m/s]
Bremsweg - Anhalteweg - Bremskraft - Beispiel
Das Bremsen (Abbremsen), in der Physik als Verzögern bezeichnet, dient der Verringerung der Geschwindigkeit. Es kann als negative Beschleunigung betrachtet werden.
Bei einem Bremsvorgang (dem Anhalten) setzt sich der gesamte Anhalteweg aus dem Reaktionsweg sowie dem eigentlichen Bremsweg zusammen. Während der Reaktionszeit bewegt sich ein Fahrzeug (z.B. ein Auto oder Fahrrad) mit gleichförmiger Geschwindigkeit ungebremst fort. Erst nach Ablauf dieser Zeit wird der eigentliche Bremsvorgang wirksam. Die Bremsbeschleunigung beschreibt die Stärke mit der ein Fahrzeug abgebremst wird. Eine negative Beschleunigung beschreibt die Verzögerung, mit der diese Bremsung ausgeführt wird. Die Bremsverzögerung stellt den Wert der (negativen) Beschleunigung dar, mit welcher ein Körper bei einem Abbremsvorgang verlangsamt wird.
Nachfolgend aufgeführt ist ein kleines prinzipielles Beispiel, welches diese Zusammenhänge verdeutlichen soll.
Es gilt den Anhalteweg eines Fahrzeugs zu ermitteln, welches sich mit einer Geschwindigkeit von 60 km/h auf einer ebenen Fahrbahn bewegt und eine Vollbremsung mit einer Verzögerung (negativen Beschleunigung) von 6 m/s2 durchführt. Die Reaktionszeit bis zur Durchführung des Bremsvorgangs betrage 0,8 s. Zudem gilt es, die hierfür erforderliche Bremskraft zu ermitteln.
Für den Reaktionsweg gilt:
v = 60 km/h = 16,66 m/s
s1 = v·t = 16,66 m/s · 0,8 s = 13,33 m
Der Bremsweg errechnet sich wie folgt:
Es gilt: a = v/t
Hieraus folgt:
t = v/a = 18,66 m/s : 6 m/s2 = 3,11 s
s2 = 0,5·a·t2 = 0,5 · 6 m/s2 · 3,11 s = 9,33 m
Der gesamte Anhalteweg beträgt somit:
sges = 13,33 m + 9,33 m = 22,66 m
Die notwendige Bremskraft kann wie folgt ermittelt werden:
F = m·a = 1100 kg · 6 m/s2 = 6600 N
Hinweis:
Bremsenergie ist ein umgangssprachlich verwendeter Ausdruck der die zur Bremsung eines Gegenstands benötigte Energie beschreibt. Physikalisch betrachtet handelt es sich hierbei um eine Umwandlung kinetischer Energie in andere Formen (maßgeblich Wärmeenergie).
Unbeschleunigte Bewegung:
Als eine unbeschleunigte Bewegung wird eine Bewegung bezeichnet, bei der sich ein Körper mit einer konstanten Geschwindigkeit bewegt.
Beschleunigte Bewegung:
Als eine beschleunigte Bewegung wird eine Bewegung bezeichnet, bei der sich ein Körper mit einer sich verändernder Geschwindigkeit bewegt.
Die Anfangsgeschwindigkeit ist diejenige Geschwindigkeit, die ein Körper zu Anfang einer Betrachtung besitzt. Als Endgeschwindigkeit wird diejenige Geschwindigkeit bezeichnet, die ein Körper am Ende seiner Beschleunigung erreicht hat.
Eindimensionale Bewegung:
Bei einer eindimensionalen Bewegung erfolgt die Bewegung eines Körpers lediglich in horizontaler oder vertikaler Richtung.
Eine lineare Bewegung oder lineare Translation zeichnet sich dadurch aus, dass sich die Bewegung eines Körpers während des gesamtem Ablaufs auf einer geraden Bahnkurve (einer Gerade) abspielt.
Die Geschwindigkeitsfunktion ist die erste Ableitung der Ortsfunktion nach der Zeit. Die Beschleunigungsfunktion ist die erste Ableitung der Geschwindigkeitsfunktion nach der Zeit.
Konstante Geschwindigkeit:
Erfolgt die gleichförmige Bewegung eines Körpers, so besitzt dieser über den gesamten Zeitraum der Ausführung der Bewegung hinweg eine konstante Geschwindigkeit.
Konstante Beschleunigung:
Wird eine Bewegung mit einer konstanten Beschleunigung ausgeführt, so erhöht sich die Geschwindigkeit eines Körpers in gleichen Zeitabschnitten um den jeweils gleichen Betrag.
Bewegung von Körpern:
Als Bewegung eines Körpers wird die Änderung des Ortes eines Massenpunktes oder eines physikalischen Körpers mit der Zeit verstanden.
Relativgeschwindigkeit:
Die Relativgeschwindigkeit die Differenz der Geschwindigkeiten die zwei bewegliche Objekte besitzen. Sie bezieht sich auf die Geschwindigkeit, mit der sich ein Objekt im Ruhezustand im Laufe der Zeit ändert. Für sie gilt:
vrel = v2 - v1
vrel: Relativgeschwindigkeit
v1: Geschwindigkeit des Objekts 1
v2: Geschwindigkeit des Objekts 2

Geradlinige Bewegung - Abbildung 1

Geradlinige Bewegung - Abbildung 2

Geradlinige Bewegung - Abbildung 3

Geradlinige Bewegung - Abbildung 4

Geradlinige Bewegung - Abbildung 5

Geradlinige Bewegung - Abbildung 6

Geradlinige Bewegung - Abbildung 7
Mit Hilfe dieses Programms lassen sich unter anderem Grafiken für Arbeitsblätter zur nichtkommerziellen Nutzung für Unterrichtszwecke erstellen. Beachten Sie hierbei jedoch, dass jede Art gewerblicher Nutzung dieser Grafiken und Texte untersagt ist und dass Sie zur Verfielfältigung hiermit erstellter Arbeitsblätter und Unterrichtsmaterialien eine schriftliche Genehmigung des Autors (unseres Unternehmens) benötigen.
Diese kann von einem registrierten Kunden, der im Besitz einer gültigen Softwarelizenz für das entsprechende Programm ist, bei Bedarf unter der ausdrücklichen Schilderung des beabsichtigten Verfielfältigungszwecks sowie der Angabe der Anzahl zu verfielfältigender Exemplare für das entsprechende Arbeitsblatt unter der auf der Impressum-Seite dieses Angebots angegebenen Email-Adresse eingeholt werden. Es gelten unsere AGB.
Dieses Programm eignet sich neben seinem Einsatz als Berechnungs- bzw. Animationsprogramm zudem zum Lernen, zur Aneignung entsprechenden Fachwissens, zum Verstehen sowie zum Lösen verschiedener Aufgaben zum behandelten Fachthema. Durch seine einfache interaktive Handhabbarkeit bietet es die auch Möglichkeit der Durchführung unterschiedlicher Untersuchungen hierzu. Des Weiteren eignet es sich beim Üben dazu, um das Erlernte hinsichtlich praktizierter Übungen bzw. bearbeiteter Übungsaufgaben zu überprüfen und hierzu erworbenes Wissen festigen zu können.
Es kann sowohl zur Einführung in das entsprechende Fachthemengebiet, wie auch zur Erweiterung des bereits hierzu erlangten Fachwissens sowie als Unterstützung bei der Bearbeitung von Anwendungsaufgaben genutzt werden. Des Weiteren eignet es sich auch als Begleiter bei der Bearbeitung von Abituraufgaben sowie zur Vorbereitung auf Klassenarbeiten, zur Unterstützung bei der Abiturvorbereitung und zur Intensivierung des erforderlichen Wissens beim Abitur (Abi) im entsprechenden Leistungskurs (LK).
Eine Herleitung dient dazu, zu erklären, weshalb es zu einer Aussage kommt. Derartige Folgerungen sind unter anderem dazu nützlich, um zu verstehen, weshalb eine Formel bzw. Funktion Verwendung finden kann. Dieses Modul kann auch in diesem Fall hilfreich sein und ermöglicht es durch dessen Nutzung oftmals, einer entsprechenden Herleitung bzw. einem Beweis zu folgen, oder einen Begriff zum entsprechenden Fachthema zu erklären.
Mittels der anschaulichen Gestaltung und einfachen Bedienbarbarkeit einzelner Module dieser Software können Fragen zum entsprechenden Themengebiet, die mit den Worten Was ist?, Was sind?, Wie?, Wieviel?, Was bedeutet?, Weshalb?, Warum? beginnen beantwortet werden.
Bei Fragen deren Wörter Welche?, Welcher?, Welches?, Wodurch? bzw. Wie rechnet man? oder Wie berechnet man? sind, können zugrunde liegende Sachverhalte oftmals einfach erklärt und nachvollzogen werden. Auch liefert diese Applikation zu vielen fachthemenbezogenen Problemen eine Antwort und stellt eine diesbezüglich verständliche Beschreibung bzw. Erklärung bereit.
Eine kleine Übersicht in Form von Bildern und kurzen Beschreibungen über einige zu den einzelnen Fachthemengebieten dieses Programms implementierte Unterprogramme finden Sie unter Kurzbeschreibungen von Modulen zum Themengebiet Mechanik - Kurzbeschreibungen von Modulen zum Themengebiet Elektrotechnik - Kurzbeschreibungen von Modulen zum Themengebiet Optik - Kurzinfos zum Themengebiet Thermodynamik sowie unter Kurzbeschreibungen von Modulen zu sonstigen Themengebieten.
Hilfreiche Informationen zu diesem Fachthema sind unter Wikipedia - Gleichförmig beschleunigte Bewegung sowie unter Wikipedia - Bewegung zu finden.
Nachfolgend finden Sie ein Video zu diesem Fachthema, welches Sie durch die Ausführung eines Klicks
auf die nachfolgend gezeigte Grafik abspielen lassen können.
Schräger Wurf - Schiefer Wurf, Waagerechter Wurf - Horizontaler Wurf, Hookesches Gesetz, Mechanische Arbeit, Zweites Newtonsches Gesetz, Drittes Newtonsches Gesetz, Gedämpfte mechanische Schwingung, Bewegungen auf einer Kreisbahn, Hebelgesetz, Chaotisches Doppelpendel, Mathematisches Pendel, Freier Fall und Luftwiderstand, Harmonische Schwingungen, Molekularbewegungen, Brownsche Bewegungen, Potentielle und kinetische Energie, Ideale Strömung - Volumenstrom, Druck in Flüssigkeiten, Wellen - Simulationen, Zusammengesetzte Bewegung, Bewegungen in der Ebene, Carnotscher Kreisprozess, Adiabatische Zustandsänderung, Isotherme Zustandsänderung, Isobare Zustandsänderung, Isochore Zustandsänderung, Beugung am Spalt, Hohlspiegel, Sammellinse, Zerstreuungslinse, Wechselstromkreise, RLC-Kreis - RLC-Schaltung, RL-Kreis - RL-Schaltung, RC-Kreis - RC-Schaltung, Resonanz - Resonanzkurve, Widerstände im Wechselstromkreis, Schwingungen und deren Überlagerung, Plattenkondensator, Ladung und Entladung von Kondensatoren, Reihenschaltung und Parallelschaltung, Lissajou-Figuren, 1. Keplersches Gesetz, 2. Keplersches Gesetz, 3. Keplersches Gesetz
4-Takt-Ottomotor - Impulssatz - Bewegung und Geschwindigkeit - Geschwindigkeit und Beschleunigung - Wellen - Druck in Flüssigkeiten - Ideale Strömung - Kinetische und potentielle Energie - Brownsche Bewegung - Molekularbewegung - Harmonische Schwingungen - Kreisbahnbewegung - Auftrieb - Geneigte Ebene - Freier Fall - Waagerechter und schiefer Wurf - Pendel - Chaos-Doppelpendel - Gedämpfte mechanische Schwingung - Rolle und Flaschenzug - Balkenwaage - Hebelgesetz - Zweites Newtonsches Gesetz - Drittes Newtonsches Gesetz - Mechanische Arbeit - Hookesches Gesetz

Unterprogramm Gleichförmige Bewegung und gleichförmig beschleunigte Bewegung

PhysProf 1.1 - Unterprogramm RLC-Kreis

MathProf 5.0 - Unterprogramm Kurven in Parameterform

SimPlot 1.0 - Grafik- und Animationsprogramm für unterschiedlichste Anwendungszwecke
Nachfolgend finden Sie ein Video zu einem in PhysProf 1.1 unter dem Themenbereich Mechanik eingebundenen Unterprogramm,welches Sie durch die Ausführung eines Klicks auf die nachfolgend gezeigte Grafik abspielen lassen können.
Nachfolgend finden Sie ein Video zu einem in PhysProf 1.1 unter dem Themenbereich Elektrotechnik eingebundenen Unterprogramm, welches Sie durch die Ausführung eines Klicks auf die nachfolgend gezeigte Grafik abspielen lassen können.
Nachfolgend finden Sie ein Video zu einem in PhysProf 1.1 unter dem Themenbereich Thermodynamik eingebundenen Unterprogramm, welches Sie durch die Ausführung eines Klicks auf die nachfolgend gezeigte Grafik abspielen lassen können.
Nachfolgend finden Sie ein Video zu einer mit SimPlot 1.0 erstellten Animationsgrafik, welches Sie durch die Ausführung eines Klicks auf die nachfolgend gezeigte Grafik abspielen lassen können.
Nachfolgend finden Sie ein Video zu einer mit SimPlot 1.0 erstellten Animationsgrafik, welches Sie durch die Ausführung eines Klicks auf die nachfolgend gezeigte Grafik abspielen lassen können.
Nachfolgend finden Sie ein Video zu einer mit SimPlot 1.0 erstellten Animationsgrafik, welches Sie durch die Ausführung eines Klicks auf die nachfolgend gezeigte Grafik abspielen lassen können.
















